所屬科目:研究所、轉學考(插大)◆線性代數
1. (15%) 令 ,求(1)A2(2)A4(3)An
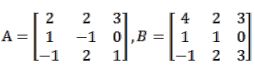
2.(10%)設n維向量,求AB
3.(10%)設
4.(10%)求解矩方程式AX=B其中
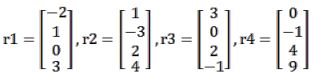
5.(10%) 試判斷r4否為r1,r2,r3的現性組合。若是請求出組合系數。
6.(10%)證明如果r1,r2,r3可由β1,β2線表示,則r1,r2,r3相關。
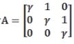
8.(20%)求矩陣的 eigenvalues 和eigenvectors.