阿摩線上測驗
登入
首頁
>
熱物理
> 108年 - 108 公務升官等考試_薦任_物理:熱物理#80453
108年 - 108 公務升官等考試_薦任_物理:熱物理#80453
科目:
熱物理 |
年份:
108年 |
選擇題數:
0 |
申論題數:
8
試卷資訊
所屬科目:
熱物理
選擇題 (0)
申論題 (8)
⑴說明準靜態過程。(10 分)
⑵說明熱力學中的臨界點。(10 分)
⑶說明吉布斯相律(Gibbs Phase rule)。(10 分)
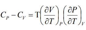
二、請推導
。(20 分)
⑴請寫出吉布斯-杜安方程。(10 分)
⑵請由吉布斯函數 G = H - TS 推導吉布斯-杜安方程。(15 分)
⑴請寫出克勞修斯-克拉佩龍方程。(10 分)
⑵水的三相點(273.16 K)略高於 1 標準大氣壓水的冰點(273.15 K), 此方程可用於計算解釋略高的一部分原因,請列式說明。(冰體積: 1.09 × 10
-3
m
3
kg
-1
;液態水體積:1.00 × 10
-3
m
3
kg
-1
;冰 1 標準大氣壓 時熔化熱:3.34 × 10
5
Jkg
-1
)(15 分)
相關試卷
114年 - 114 公務升官等考試_薦任_物理:熱物理#133269
114年 · #133269
112年 - 112 公務升官等考試_薦任_物理:熱物理#117336
112年 · #117336
110年 - 110 公務升官等考試_薦任_物理:熱物理#103667
110年 · #103667
108年 - 108 公務升官等考試_簡任_物理:熱物理研究#80510
108年 · #80510
106年 - 106 公務升官等考試_薦任_物理:熱物理#66153
106年 · #66153
104年 - 104 公務升官等考試_薦任_物理:熱物理#41301
104年 · #41301
102年 - 102 公務升官等考試_簡任_物理:熱物理研究#43810
102年 · #43810
102年 - 102 公務升官等考試_薦任_物理:熱物理#43808
102年 · #43808
100年 - 100 公務升官等考試_薦任_物理:熱物理#45303
100年 · #45303
100年 - 100 公務升官等考試_簡任_物理:熱物理研究#45278
100年 · #45278