所屬科目:熱物理
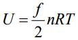
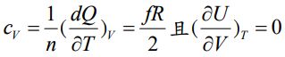
(一) 若理想氣體的總內能, f 為一常數 。 證明定容比熱。(10 分)
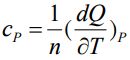
(二)根據定義,定壓比熱 ,則 cP-cV= ?(15 分)
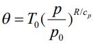
(三)處於平衡態的 n 莫耳理想氣體,初始壓力與溫度分別為 p0 與 T0 。經由可逆絕熱過程到達另一平衡態,其壓力為 p ,溫度為θ 。證明。(15 分)
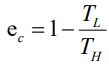
二、考慮以下熱引擎的可逆循環過程: a → b → c→ d→ a 。其中 a→b 為等溫膨脹過程,溫度為 TH ;b→ c 為絕熱膨脹過程;c→ d 為等溫壓縮過程, 溫度為 TL;d → a 為絕熱壓縮過程。在可逆過程中遵守熱力學第一定律:dQ= TdS= dU+dW 。設熱引擎效率為 ec ,證明:。(40 分)
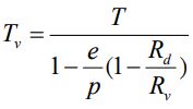
三、考慮一體積為V ,氣體總壓為 p 的濕空氣塊。其中水氣分壓為 e ,乾空氣分壓為 pd 。水氣遵循以下狀態方程式: e =ρv RvT ;乾空氣遵循以下狀態 方程式: pd =ρdRdT ,其中ρv 與ρd 分別為水氣密度與乾空氣密度; Rv 與 Rd 分別為水氣氣體常數密度與乾空氣氣體常數, T 為溫度。飽和水氣壓為 eS。此空氣塊遵循以下方程式 p= ρRd Tv ,其中ρ為濕空氣塊密度,Tv為虛溫,壓力 p= pd+ e 。證明: 。(20 分)