所屬科目:技師◆流體力學與流體機械
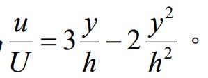
一、如圖一,水流過一個斜板上方。由於流體黏滯性影響,所以其斜板表面的流體速度為 0。自斜板表面至自由液面的速度分布為 。 其中自由液面的速度 U 為 2.5 m/s,斜板至自由液面高度 h 為 0.01 m。請 問在斜板表面因水流造成的剪應力有多大?(水的動力黏滯係數為 1.12×10-3 N·s/m)。(15 分)
四、考慮一個圓形擴張管垂直擺放如圖 考慮一個圓形擴張管垂直擺放如圖四,空氣由下往上流入圓管 空氣由下往上流入圓管(直徑 ,其平均速度為 0.08 m) 其平均速度為 25 m/s。而出口的速度大小也是 而出口的速度大小也是 25 m/s。由一個 錐形物放置於擴張管的上方 上面施一往下的力量為 0.08 N。因此此錐 錐形物放置於擴張管的上方,上面施一往下的力量為 形物受空氣往上的力量 形物受空氣往上的力量、錐形物本身重量、往下施予錐形物的力量達到往下施予錐形物的力量達到 力平衡,所以錐形物可以停在擴張管出口處而不會移動 所以錐形物可以停在擴張管出口處而不會移動 所以錐形物可以停在擴張管出口處而不會移動。請問錐形物的 重量有多少?(空氣 20℃的密度為 20 1.204 kg/m3)(15 分)