所屬科目:流體力學
1.有一種物質稱為「流體」,請問下列何者是正確的定義?(A)承受任意大小的拉應力,會產生連續不斷的變形 (B)承受某關鍵大小以上的剪應力,會產生連續不斷的變形(C)承受任意大小的剪應力,會產生連續不斷的變形 (D)承受任意大小的剪應力,會產生不連續的變形
2.有關流體容積模數(bulk modulus) Ev 的原理與觀念,下列何者錯誤? (A)一般液體的 Ev 值很大 (B)一般氣體的 Ev 值很大 (C) Ev= ,p 為壓力,ρ 為密度 (D)容積模數 Ev 是用來區分流體的壓縮性
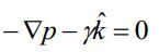
3.在無剪應力的流場中,流體的運動方程式為。當流體在靜止(a=0)時,下列何者的表示式錯誤? (A) (B) (C) (D)
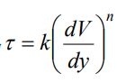
4.流體的剪應力 τ 與剪應力比率(shear stress rate) dV/dy 的關係式可表示為 ,請問 k 的值及 n 的值為若干時,表示該流體是牛頓流體? (A) k =μ (黏度),n = 1 (B) k =1.5μ,n=0.5 (C) k = μ ,n =2 (D) k =1.5μ ,n = 1
5.在毛細管中液體的上升或下降是何種理論最常見的現象?(A)流體壓力偏低 (B)表面張力(C)流體的不恰當被緊密壓縮(compaction) (D)超過細氣孔(pore)的液壓
6.某管路的內直徑為 30 cm,管內液體的流速為 0.36 m/s,流率為若干 m3 /s? (A) 0.045 (B) 0.035 (C) 0.025 (D) 0.015
7.當氣體被壓縮時,壓力 p 與密度 ρ ,等壓比熱cp,等容比熱cv 及氣體常數 R 間的關係,請問下列何者錯誤? (A)等溫過程 =常數 (B)等熵過程 (isentropic process) =常數(C) (D)
8.請問下列何者符合設定流體的控制體(control volume)的需求條件?(A)控制體內物質的本質不隨時間而改變 (B)控制體內物質的量不隨時間而改變(C)控制體的形狀可能隨時間而改變 (D)有時需滿足牛頓黏性定律
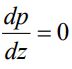
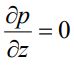
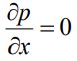
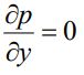
9.在液面下一個極小元件的靜力平衡式可表示為 dp= -γdz ,請問下列敘述何者錯誤? (A)靜壓力為沿著直立軸 z 的方向變化 (B)本平衡關係式僅適用於可壓縮流體 (C)靜壓力沿著 x 軸方向無變化 (D)靜壓力沿著 y 軸方向無變化
10.使用非常平滑的管子在仔細控制的實驗下,當管內流體從層流到擾流的過渡(transition)狀態時,最接近的過渡雷諾數值是多少?(A) 700 (B) 1,500 (C) 2,300 (D) 3,600
11.於工程應用上,連體(continuous medium)需滿足基本定律(basic laws),何者等同於「動量與動量矩方程式」?(A)質量守恆 (B)熱力學第二定律 (C)牛頓第二運動定律 (D)能量守恆
12.下列何者是屬於柏努利(Bernoulli)方程式成立的假設條件?(A)擾流(turbulent)流動狀態 (B)忽略黏性效應 (C)沿著兩條流線 (D)可壓縮流
13.馬赫(Mach)數經常表示為 Ma,請問下列關於 Ma 之敘述何者錯誤? (A)可壓縮超音速流:Ma≥1.0 (B)不可壓縮流:Ma ≤ 0.3 (C) Ma =局部流速/局部音速 (D)當 Ma 減少時流體壓縮性效果會更加顯著
14.有關單位質量的儲存能,下列何者是正確的意義及表示式?(A)儲存能 = 位能+ 熱能+ 動能 (B)儲存能 = 內能+ 動能+ 熱能(C)儲存能 = 熱能+ 位能+ 內能 (D)儲存能 = 動能+ 位能+ 內能
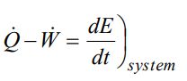
15.任意系統(system)的總儲存能(E),加給系統的淨熱(Q)與系統對周遭作的淨功(Wk),根據能量守恆,下列哪一個選項是這三者關係的微分形式? (A) dE= dQ +dWk (B) dE= dQ - dWk (C) dWk= dQ +dE (D) dE= dQ✖ dWk
16.【圖 16】表示直徑 D 的活塞置於密度為 ρ的水銀管裝置的平衡狀態,兩側的水銀面高度差為 h。請問活塞的重量為何? (A) (B) (C) (D)
17.使用控制體於流體力學分析系統,需應用基本定律(basic laws),下列何者是「角動量原理(angular-momentum principle)」的微分表示式?(A)(B)(C)(D)
18.欲推使水流經過一個 3 cm 直徑的圓孔,流速為 15 m/s,需多少的理論落差(head)值?(A) 9.8 m (B) 11.5 m (C) 13.6 m (D) 20.1 m
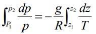
19.可壓縮流體假設在z1與z2 的高度範圍內,溫度保持 T 定值,壓力變化可表示為。在推導過程中,下列何者是錯誤的表示式? (A) (B) = ρRT (C) (D)
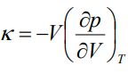
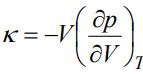
20.液體於等溫時的容積彈性模數(bulk modulud) κ可表示為,水在室溫及 1 atm 下的 κ 值為 2.23GPa。 考慮 10 atm 作用在 1 m3體積水的室溫壓縮,請問該水之體積減少的百分率為何? 提示:1 atm= 101,325 Pa (A) 0.153% (B) 0.105% (C) 0.0908% (D) 0.0454%
21.以下何者為正確的粘度單位? (A) kg/(s · m) (B) kg · m/s (C) kg · s/m (D) kg · m/s 2
22. 2 m 高度的水(γ=9,810 N/m3 )相當於多少 mm 高度的汞(比重=13.6)? (A) 422 mm (B) 375 mm (C) 231 mm (D) 147 mm
23.潛水器有一個圓形的觀景窗,直徑為 60 cm,面積為 A=0.2827 m2。如果觀景窗的中心點位置位於自由液面和水平觀景窗下方 30 m,請計算作用在觀景窗上水的壓力為何?(γ=9,810 N/m3 ) (A) 65.8 kN (B) 79.3 kN (C) 83.2 kN (D) 99.1 kN
24.物體在空氣中重量為 200 N,浸泡在水中的重量為 125 N。請問其比重為何?(A) 2.31 (B) 2.49 (C) 2.54 (D) 2.67
25.平面流中的速度場給定為 V = 2yt i + x j m/sec。在點(4 m, 2 m)位置上,當時間 t = 3 sec 時,其加速度的分量(ax, ay)為何? (A) (50, 14) m/s2 (B) (32, 17) m/s2 (C) (28, 12) m/s2 (D) (18, 15) m/s2
26.平面流中的速度場給定為 V = 2xy i + yt j。在點(0 m, 4 m)位置上,當時間 t = 3 sec 時,流體的渦度為何?(A) −4k rad/s (B) −3j rad/s (C) −2k rad/s (D) −3i rad/s
27.如果速度場給定為 V = 2xy i + y2 j,則通過點(2, -1)的流線方程為何? (A) x2 = 4y2 (B) x = −2y (C) x2 = −4y (D) x = 2y2
28.飲水機有 2 mm 直徑的出口。如果水流是層流(Re=2,000,ν=10-6 m2 /sec),則水流應該有何最大速度? (A) 0.5 m/s (B) 1 m/s (C) 2 m/s (D) 3 m/s
29.在溫度為 20°C (ρAir =1.2 kg/m3 )的小型飛機上,一皮拓管測量 10 cm 的水位高度(γ=9,810 N/m3 )。其飛機的速度為何? (A) 40 m/s (B) 50 m/s (C) 60 m/s (D) 70 m/s
30. 25°C 和 340 kPa 的空氣(可視為理想氣體)在 10 cm 直徑的管道中以速度 40 m/sec 流動。請問其質通量為何?(A) 0.94 kg/s (B) 1.14 kg/s (C) 1.25 kg/s (D) 1.67 kg/s
31.水在 2 cm 乘 4 cm 的矩形管道中流動,其速度為 16 m/sec。管道經過過渡段到 6 cm 直徑(截面積為 A=0.002827 m2)的圓管道中。試計算圓管道中的流體速度為何? (A) 2.76 m/s (B) 3.14 m/s (C) 3.95 m/s (D) 4.53 m/s
32.當直徑為 50 cm 氣球裝滿水時,如果進入氣球的體積流率為 0.01 m3 /s,則氣球直徑的增加速度為何? (A) 2.15 cm/s (B) 2.55 cm/s (C) 3.26 cm/s (D) 3.81 cm/s
33.水流入水平具有噴嘴的水管直徑 d1 = 8 cm,其流體速度為 V1=10 m/sec,當水流通過一 4 cm 直徑的出口流出到大氣中(V2=40 m/sec)。請問噴嘴上游處之壓力為何? (A) 600 kPa (B) 650 kPa (C) 700 kPa (D) 750 kPa
34.在某一平面流動中速度的 x 速度分量僅取決於 y 相關的 u (y) = Ay。如果 v (x, 0) = 0,請計算速度 v (x, y)的 y 速度分量為何? (A) 0 (B) Ax (C) Ay (D) Axy
35.假設在一平面不可壓縮流中 u(x,y)=4+(2x/( x2 + y2 )),若滿足 v(x, 0) = 0 條件時,請計算 v(x, y)=下列何者? (A) 2y/(x2 + y2 ) (B) −2x /(x2 + y2 ) (C) −2y/(x2 + y2 ) (D) 2x /(x2 + y2 )
36.如果使用了 F-L-T 因次系統,則密度的因次為何? (A) FT/L2 (B) FT2 /L2 (C) FT/L4 (D) FT2 /L4
37.結合角速度 ω,粘度 μ,直徑 d,與密度 ρ 成為一個無因次群,其無因次 Pi 項為何? (A) ωρd/μ (B) ωρd4 /μ (C) ωρd2 /μ (D) ω2 ρd/μ
38.流體力學建模的相似性條件中不包括下列何者?(A)幾何相似 (B)體積相似 (C)運動相似 (D)動力相似
39.用 U 型管壓力計測量管道內空氣的壓力為 10 cm 的水柱高,請問管道內的壓力為何?(γ=9,810 N/m3 ) (A) 843 Pa (B) 981 Pa (C) 1,270 Pa (D) 1,430 Pa
40.如【圖 40】如果 h = 15 cm 和 H = 25 cm,請計算水管內的壓力為何?(汞比重=13.6,γwater=9,810 N/m3)(A) 22.8 kPa(B) 27.3 kPa(C) 31.9 kPa(D) 39.1 kPa
41.有一水輪機(turbine)產生 354 N-m/kg 的功率(power),通過該輪機的揚程(head) △HD 為若干? (A) 30 m (B) 36 m (C) 41 m (D) 46 m
42.【圖 42】表示傾斜管(inclined-tube)液體壓力計(manometer)容器內裝有密度 ρl 的液體(gage liquid),傾斜度 (deflection)為 L,作用的壓力差表示為 △p 。下列何者的分析表示式錯誤? (A) p1 - p2=△p (B) pl=SGl✖ρH2O(at 4℃ ) , SGl 表示液體的比重(specific gravity) (C) △p=ρlg(h2-h1) (D)
43.下列何者是有關柏努利方程式(Bernoulli equation)的正確理論?(A)以穩定不可壓縮非黏性流動的部分流管為控制體 (B)與落差(head)觀念無關(C)應用熱力學第二定律 (D)有熱傳遞
44.下列哪個測量器具原理是用來測量靜壓力與停滯壓力值?(A)文氏(Venturi)計 (B)噴嘴(nozzle)計 (C)孔口(Orifice)計 (D)皮托(Pitot)靜壓管
45.下列何者是因次分析(dimensional analysis)的本性(nature)?(A)某種物理現象可以用多組變數的無因次組的關係表達成數學式(B)變數的數目比無因次組的數目少(C)不具有因次齊次性(dimensional homogeneity)(D)建立變數間的關係時,所需的實驗數目可以少很多
46.關於傅勞德(Froude)數的物理意義或特徵為何?(A)於高速流動很重要,由於壓力引起很大的密度變化 (B)對河川類的自由表面很重要(C)對水中船舶等大型物體的影響很小 (D)常應用於流動參數及幾何參數
47. 6 cm 直徑水平固定水噴射流,速度為 40 m/sec,撞擊到垂直板(質通量為 2.827 kg/sec)。如果垂直板以 20 m/sec 的速度離開噴射流,請計算需要支撐垂直板力量為何? (A) 1,365 N (B) 1,270 N (C) 1,130 N (D) 1,080 N
48.在一平面不可壓縮流中速度分量為 vθ = −(25 + 1/r2 ) cosθ。若滿足 vr (r, 0) = 0 條件時,請計算 vr (r,θ)=下列何者? (A) 25(1−1/r2 ) sinθ (B) (25 −1/r2 ) sinθ (C) −25(1−1/r2 ) sinθ (D) −(25 −1/r2 ) sinθ
49.提出一種新的汽車設計方案。建議進行 1:5 的模型研究,為獲得 90 km/hr 的設計速度。基於合適的無因次參數,模型研究時應該選擇何種速度? (A) 500 km/h (B) 450 km/h (C) 325 km/h (D) 270 km/h
50.如【圖 50】所示的曲面水閘門,向下的外力作用使其平衡,定位樞紐於 O 處,寬度為 5 m。忽略閘門重量,請問作用在閘門的水平水壓力為多少 kN?註:水平力作用在閘門質心(centroid)處,位置為yc = D / 2。(A) 528(B) 441(C) 392(D) 356