所屬科目:國營事業◆1.家畜各論(猪學) 2.豬病學
15. 假設仔豬平均日增重為受3個基因影響之計量性狀,設定遺傳模式P=μ+BV+GCV+E,其中族 群表現型值平均(μ)為200公克,參考以下資料估測個體日增重之表現排序為何? (A) a > b > c (B) a > c > b (C) c > a > b (D) c > b > a
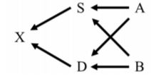
16. 請問右圖系譜中後裔X之近親係數(FX)為何? (A) 0 (B) 0.125 (C) 0.25 (D) 0.5
20. 探討不同選拔策略下飼料效率之遺傳改進速度,其公式為 ,其中為 選拔正確度; i為選拔強度; σBV為遺傳變異;L為世代間距,就下述資訊所得之遺傳改進量 排序為何? (A) a > b > c (B) a > c > b (C) b > a > c (D) b > c > a