所屬科目:技檢◆電腦軟體設計-C++-乙級
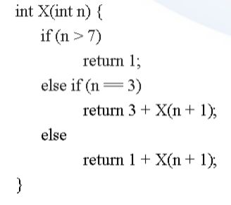
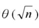
1. 有一遞迴(Recurs ive)程式如下,以下何者是這個程式的時間複雜度(Time Complex ity)?(A)θ(log n) (B) (C) (D)θ(n log n)。
2. 下列仿 C 程式片段為計算費氏級數(Fibonacci Number),其中三行程式尚未完成,下列何者敘述為 正確?(A)(I)的程式片段為 c=a +b(B)(II)的程式片段為 a =b +c(C)(I)的程式片段為 a = b +c(D)(II)的程式片 段為 b=a+c。
6. 若一仿 C 程式如下,當 n 值輸入為 3 時,程式執行回傳結果為何?(A)12(B)4(C)5(D)程式無法停止。
8. 下列程式片段之計算時間,何者是正確﹖(A)θ(log n)(B)θ(n)(C) (D)θ(n log n)。
10. 下列函式原型及變數宣告,在 main func tion 正確的函數呼叫,下列何者正確?(A)&a, a(B)r, &r(C)a, &r(D)&r, a。
12. 對於以下 C 程式,執行後輸出是那一個?(A)3(B)4(C)5(D)6。
22. 若一仿 C 程式如下,當 n 值輸入為 4 時,程式執行回傳結果為何?(A)12(B)4(C)5(D)程式無法停止。
27. 針對以下 C 程式,執行後如果第一個和第二個輸出是 240ff18 和 240ff38,則第三個輸出是那一個? (A)240ff80(B)240ffc6(C)240fed4(D)240fedd。
29. 下列何者為兩個矩陣 與 相乘的時間複雜度(Time Complexity)?(A) (B)O(mp)(C)O(mn p)(D)O(n)。
35. C++中定義 Templa te 函數如下:下列函數呼叫何者是錯誤?(A)int x=3, y =4; cout << larger(x,y);(B)f loat x =3, y =4; cout << large r(x,y);(C)char x='3', y ='4'; cou t << larger(x,y);(D)char x[]="3", y []="4"; c out << larger(x,y);。
37. 依據 C++以下之變數宣告,欲將 num 值加 1,下列敘述何者正確?(A)p++;(B)(*p)++;(C)(&num)++; (D)(*num)++;。
64. 下列 C++語言程式片段執行後,執行後那些值會包括在程式輸出的一部份?(A)9(B)8(C)7(D)6。
67. 下列程式之敘述,那些是正確的? (A)遞迴程式 fact( )是在計算出 n! (B)遞迴程式 foo( )是將二元樹每一個節點的左右子樹作交換 (C)程式 mystery( )是計算兩個正整數相乘 (D)程式 SomeFunction( )是對環形串列(Circularly Linked List)插入一個節點 n 。
70. 以下 C++語言程式片段,執行後那些值會包括在程式輸出的一部份?(A)16(B)15(C)23(D)21。
75. 下列 C++程式中那些指令是錯誤的?(A)甲(B)乙(C)丙(D)丁。