所屬科目:技檢◆電腦軟體設計-C++-乙級
1. 有關公開金鑰基礎建設(Public Key Infrastructure, PKI)之敘述,下列何者「不正確」?(A)係基於非對稱式加解密演算法(B)可用私密金鑰簽署將公布之文件(C)可驗證身分及資料來源(D)公開金鑰必 須對所有人保密。
2. 將 54 插入下圖之 2-3 樹中,總共有幾個節點會產生分裂(Sp lit)?
(A)2(B)3(C)1(D)0。
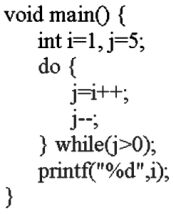
3. 針對以下 C++ 程式,執行完後輸出結果是那一個?
(A)20(B)無法編譯(C)可以編譯,無法執行(D)0。
4. 下列何者不是對稱式加密方法?(A)IDEA (B)AES(C)DES(D)RSA。
5. 下列何者在 C/C++語言中視為 fa lse?(A)0(B)1(C)-1 (D)-100。
6. 若 n 大於 ,演算法的時間複雜度(Time Complexity)由小到大的排序,下列何者是正確的? (A) (B) (C) (D) 。
7. 從一個擁有 n 個節點的鏈結串列刪除一個值為 x 之節點,在最壞情況下所需時間複雜度為多少? (A)θ(1)(B)θ(n)(C)θ(n log n)(D)θ(log n)。
8. 對於吹哨者保護規定,下列敘述何者有誤?(A)勞動檢查機構受理勞工申訴必須保密(B)為實施勞動 檢查,必要時得告知事業單位有關勞工申訴人身分(C)任何情況下,事業單位都不得有不利勞工申 訴人之行為(D)事業單位不得對勞工申訴人終止勞動契約。
9. 一般而言,下列那一個不可能出現在資料庫的交易日誌(Transac tion Log)內?(A)操作型態(Type of Operation)(B)操作前映像(Before-Images)(C)操作成本(Cost of Operation)(D)操作時間(Time of O peration)。
10. 編譯程式(Compiler)將高階語言翻譯至可執行的過程中,下列何者是連結程式(Linke r)負責連結的 標的?(A)原始程式與可執行程式(B)副程式與可執行程式(C)原始程式與目的程式(D)目的程式與所需 之副程式。
11. 若軟體採外包,會訂定 RFP,那是什麼?(A)Rega rds for Planner(規劃師應知)(B)Requirements fo r Planning(規劃所要之需求)(C)Requiremen ts for Planner(規劃師應達成之要求)(D)Request for Proposals(徵求建議書)。
12. 在處理器中位址匯流排有 32 條,可以定出多少記憶體位址? (A)4GB(B)2GB(C)1GB(D)512MB。
13. 函數 f1 之第一個參數的資料結構為陣列,下列有關陣列在函數 f1 之宣告方式,何者是正確?(A)v oid f1(int array, int size);(B)void f1(float array[], int size);(C)void f1(int array(100), int size);(D)voi d f1(int& array, int size);。
14. 依據 C++以下之變數宣告,欲將 num 值加 1,下列敘述何者正確?
(A)p++;(B)(*num)++;(C)(&num) ++;(D)(*p)++;。
15. 下列何者屬地下水超抽情形?(A)地下水抽水量「低於」天然補注量(B)地下水抽水量「低於」降雨 量(C)地下水抽水量「超越」天然補注量(D)天然補注量「超越」地下水抽水量。
16. 對電子煙的敘述,何者錯誤?(A)含有尼古丁會成癮(B)可以幫助戒菸(C)含有毒致癌物質(D)會有爆炸 危險。
17. 有關弱實體型態(Weak Entity Type) 所產生關聯表格的候選鍵(Candidate Key),何者有誤?(A)部 分是弱實體本身之屬性(B)部分是其他實體之屬性(C)一定只有一組(D)一定會有複合鍵(Composite Ke y)。
18. 有一規則表示(Regular Expression)文法可識別字串狀態表如下,下列何者為其規則表示?(1 為起 始狀態,4 為結束狀態)
(A)aa*b|bacd*(B)ab*a|abc*d(C)a(bcda|cda)*(D)ab*c|abd*。
19. 在 UML 類別圖(Class Diagram)中,類別沒有自己直接的實例(Ins tances),稱為下列何者?(A)抽象 類別(Abstract Class)(B)間接類別(Indirect Class)(C)不完全類別(Incomplete Class)(D)空白類別(Empt y Class)。
20. 下列 C/C++程式片段,若 x = 2,則 y 值為何?
(A)3(B)2(C)9(D)7。
21. 對於核計勞工所得有無低於基本工資,下列敘述何者有誤?(A)不計入競賽獎金(B)僅計入在正常工 時內之報酬(C)不計入休假日出勤加給之工資(D)應計入加班費。
22. 根據美國國家標準與技術研究院(N IST)對雲端的定義,下列何者「不是」雲端運算(Cloud Comput ing)之服務模式?(A)平台即服務(Pla tform as a Service , PaaS)(B)內容即服務(Content as a Servi ce, CaaS)(C)軟體即服務(Software as a Service, SaaS)(D)基礎架構即服務(Infras tructure as a S ervice, IaaS)。
23. 陳先生到機車行換機油時,發現機車行老闆將廢機油直接倒入路旁的排水溝,請問這樣的行為是 違反了(A)職業安全衛生法(B)道路交通管理處罰條例(C)飲用水管理條例(D)廢棄物清理法。
24. 公司負責人為了要節省開銷,將員工薪資以高報低來投保全民健保及勞保,是觸犯了刑法上之何 種罪刑?(A)詐欺罪(B)工商秘密罪(C)侵占罪(D)背信罪。
25. 有一高度為 3,分支度(Order)為 20 之 B-tree,根節點(Root Node)至少有多少個子節點(Child Nod e)?(A)3(B)10(C)2(D)20。
26. 下列有關 UDP 通訊協定的敘述何者正確?(A)UD P 封包標頭中有封包序號(Sequence)的欄位(B)UDP 封包標頭的長度是固定的(C)UD P 封包標頭中有來源端的 IP 位址與目的地的 IP 位址(D)UD P 封包標 頭中有錯誤檢查碼(Checksum)的欄位,其只針對封包標頭的部分來計算。
27. 有關建築之外殼節能設計,下列敘述何者有誤?(A)開窗區域設置遮陽設備(B)宜採用全面玻璃造型 設計,以利自然採光(C)做好屋頂隔熱設施(D)大開窗面避免設置於東西日曬方位。
28. 行(受)賄罪成立要素之一為具有對價關係,而作為公務員職務之對價有「賄賂」或「不正利 益」,下列何者「不」屬於「賄賂」或「不正利益」?(A)送百貨公司大額禮券(B)招待吃米其林等 級之高檔大餐(C)免除債務(D)開工邀請公務員觀禮。
29. 下列何者為制定網際網路(Interne t)相關標準的機構?(A)IEEE(B)A NSI(C)ISO (D)IETF。
30. 針對以下 C++程式,執行後輸出是以下那一個?
(A)2(B)5 (C)3(D)4。
31. 有關觸電的處理方式,下列敘述何者錯誤?(A)把電源開關關閉(B)立即將觸電者拉離現場(C)使用絕 緣的裝備來移除電源(D)通知救護人員。
32. 下圖為一個無方向性(Undirected)的加權圖(We ighted Graph),頂點(Vertex)上的字母為其編號, 邊(Edge)上的數字代表成本(Cost),此圖形的最小展開樹(Minimum Spanning Tree)的總成本(Total Cost)是多少?
(A)27(B)29(C)33(D)31。
33. 下列為含有六個運算元之運算式,此運算式是以後序追蹤(Postorde r Traversal)方式表示,其中"*" 表示乘法運算,這些後序追蹤所對應的運算樹(Express ion Tree),其高度何者是最高?(A)1 2 3 * *4 5 * * 6 *(B)1 2 * 3 4 5 * * * 6 *(C)1 2 3 * * 4 * 5 * 6 *(D)1 2 * 3 4 * * 5 6 * * 。
34. 在 C 語言中,如果作下列宣告,則 A ry[3][2 ]之值為何?(A)8(B)2(C)13(D)5。
35. UML 類別圖(Class Diagram)中的套件可視性(Package Visibility)的符號,以下何者正確?(A)#(B)~ (C)+(D)/。
36. 若有 P1、P2、P3、P4 四個行程,每個行程的到達時間依序為第 0 秒、第 1 秒、第 3 秒、第 5 秒,而每個行程所需的時間依序為 7 秒、5 秒、4 秒、8 秒。若以最短工作先做排班法則(SJ F)且 是不可搶先(Nonpreemptive)的方式來排班,則其平均等待時間為何?(A)6.25 秒(B)6.75 秒(C)6 秒(D)6.5 秒。
37. 行為人以竊取等不正當方法取得營業秘密,下列敘述何者正確?(A)只要後續沒有出現使用之行為 便不構成犯罪(B)只要後續沒有造成所有人之損害便不構成犯罪(C)只要後續沒有洩漏便不構成犯罪 (D)已構成犯罪。
38. 下列何者非屬職業安全衛生法規定之勞工法定義務?(A)實施自動檢查(B)參加安全衛生教育訓練(C) 定期接受健康檢查(D)遵守安全衛生工作守則。
39. 下列有關 B-tree 與 B+ Tree 的敘述,何者是正確的?(A)B-tree 與 B+ Tree 的差異是 B+ Tree 的葉 節點(Leave Node)加入引線(Thread)(B)在 B+ Tree 中,所有的鍵值(Key)是放在最底層(C)B+ Tree 中 每個節點所存放的鍵值,其空間之使用密度比 B-tree 高(D)索引循序檔(Indexed Sequential File)的 設計,一般採 B-tree 而不是 B +Tree 的結構。
40. 相較傳統檔案,使用資料庫後,不可能做到下列那點?(A)簡化程式維護(B)資料共享(C)資料品質改 善(D)完全沒有資料重複。
41. 集合式住宅的地下停車場需要維持通風良好的空氣品質,又要兼顧節能效益,下列的排風扇控制 方式何者是不恰當的?(A)淘汰老舊排風扇,改裝取得節能標章、適當容量高效率風扇(B)兩天一次 運轉通風扇就好了(C)設定每天早晚二次定期啟動排風扇(D)結合一氧化碳偵測器,自動啟動/停止控 制。
42. 在 IEEE 830 標準所探討的軟體需求規格(SRS)中,下列何者不是欲達成可修改(Mod ifiable )特 性所應做到的項目?(A)需求在文件中沒有重複(B)需求個別表達,沒有混在一起(C)文件有良好組 織、目錄、索引(D)文件以 Word 等文書編輯軟體建立。
43. 依據台灣電力公司三段式時間電價(尖峰、半尖峰及離峰時段)的規定,請問哪個時段電價最便 宜?(A)非夏月半尖峰時段(B)離峰時段(C)夏月半尖峰時段(D)尖峰時段。
44. 下列何者不是造成臺灣水資源減少的主要因素?(A)水庫淤積(B)雨水酸化(C)濫用水資源(D)超抽地下 水。
45. 下列何種行為對生態環境會造成較大的衝擊?(A)設立國家公園(B)設立自然保護區(C)引進外來物種 (D)種植原生樹木。
46. 以下何者是消除職業病發生率之源頭管理對策?(A)多運動(B)健康檢查(C)使用個人防護具(D)改善作 業環境。
47. 下圖為街道圖,其中方框內數字表城市編號,線段表兩城市間街道之長度有一有線電視網路公司欲舖設地下纜線,將訊號傳送到六個城市為得到最低道路挖掘成本,下列敘述何者是正確?
(A)2-5 路段是要挖掘(B)3-4 路段是要挖掘(C)2- 3 路段是要挖掘(D)0-4 路段是要挖掘。
48. 依據以下類別之定義,下列 C++程式最後一個敘述之輸出,下列何者是正確?
(A), and my breed is a Weiner(B)不會印出任何內容(C)My name is Rover(D)My name is Rover, and my breed is a Weine r。
49. 有關資料表示,下列何者「不正確」?(A)1G B= 2 30Bytes(B)1KB= 2 10Bytes(C)1Byte=8bits(D)1MB=2 15Bytes。
50. 下列有關物件導向的多型(Polymorphism)觀念,何者是不正確?(A)動態多型(Dynamic Polymorphis m)與繼承(Inheritance)是兩個不相關的概念(B)多型(Polymorphism )指同一訊息(Message)在不同 c la ss 中有不同對應的 Methods(C)C++語言利用 Overload ing 達到靜態多型(Sta tic Polymorphism)的功 能(D)C++語言利用 Virtual Function 達到動態多型的功能。
51. 「將資料定期備份」是屬於下列何種資訊安全之特性?(A)可用性(B)完整性(C)不可否認性(D)機密 性。
52. 根據 IEEE 830 標準所探討的軟體需求規格(SRS),應對需求的穩定性(Stability )排序,下列何 者對穩定性的影響最小?(A)系統所欲支持的組織內部可能的人事異動(B)未來世界科技的演進(C)未 來台灣系統廠商家數的變化(D)系統所欲支持的組織外界政治、經濟環境變化。
53. 以下何者不是 C++ 語言整數資料型態?(A)short(B)int(C)byte(D)double。
54. 下列 C++程式片段是有關例外(Exception)之處理,其輸出結果何者是正確的?
(A)1 2 3 5(B)1 2 4 53(C)1 2 5(D)1 2 3。
55. 加入節點 17 於下圖中的 AVL Tree,下列敘述何者是正確?
(A)異動後之 AV L Tree 其樹根節點為12(B)異動後之 AVL Tree 其 Preorder 為 10,7,5,1,8,13,11,12,15,17,18(C)異動後之 AVL Tree 其葉節 點共有 5 個(D)異動後之 AVL Tree 其分支度為 1 之節點共 4 個。
56. 下列關於「超載化函式」(Overloaded Functions)的描述何者正確?(A)一組「超載化函式」中,每 一個函式的參數資料型態可以動態改變(B)一組「超載化函式」中,每一個函式都有著相同的名稱 (C)一組「超載化函式」中,每一個函式的參數個數都必須一樣(D)一組「超載化函式」中,每一個 函式的參數資料型態需相互對應。
57. 有關 TCP/IP 通訊協定的敘述,下列那一項是錯誤的?(A)TCP 是非連接(Connectionless )導向的協 定(B)IP 是 Internet Protocol 的簡稱(C)TCP/IP 是網際網路的通訊協定(D)TCP 通訊協定相對於 OSI 通 訊協定中的第四層。
58. 下列仿 C 程式片段,若 n=5,程式執行後回傳(Re turn)值為何?
(A)2(B)5(C)8 (D)3。
59. 若 C++語言的函式有回傳值,在方法主體內要使用以下那一個保留字?(A)retu rn(B)invoke(C)th rows (D)void。
60. 下列有關 RISC(Reduced Instruction Set Computer)與 CISC(Complex Instruction Set Computer)的 敘述何者錯誤?(A)CISC CPU 有較複雜的指令集(B)RISC CPU 的指令長度多為固定(C)通常對於完成 同一應用程式時,所需的 RISC CPU 的指令數目少於 CISC CPU 的指令數目(D)RISC CPU 的定址 模式較少。
61. 對於同一 C 或 C++之程式而言,開發為 64 位元之程式與 32 位元之程式的比較,那些為錯誤?(A) 程式指標佔用之記憶體由程式決定,與程式適用之位元數無關(B)字串資料部分,64 位元程式佔用 比較大之記憶體(C)32 位元之程式中使用字串指標(Poin ter)儲存字串資料比使用字元陣列儲存相同 字串資料所佔用之記憶體小(D)64 位元之程式其指標佔用之記憶體較大。
62. 有關於資料庫的並行控制,下列那些敘述是正確的?(A)二元鎖定的 lock 與 unlock 指令可以交錯執 行,因此可以同時有兩個在等待佇列中的交易(Transac tion)一起存取 lock 的同一個資料項(B)某個 優先權較低的交易可能會無止盡的一直等待執行,此時發生了飢餓(Sta rvation)現象(C)當兩個交易 互相等待被對方 lock 的資料項時,此時發生了死結(Dead lock)現象(D)二元鎖定(Bina ry Lock)只能 有兩種狀態 lock 與 unlock,多重模式鎖定(Multi-Mode Lock)則可以有 read_lock、write_lock、un lock 等多種指令。
63. 下列 C++語言程式片段中,那些可以正確執行?(A)char s1[10]; s1="Ctest";(B)char s3[20]="Ctest"; (C)char s2[]={'C', 't', 'e', 's', 't','\n'};(D)char *s4="Ctest\n"。
64. 以相鄰矩陣(Adjacency Matrix)儲存一個有向(Directed)權重圖(We ighted Graph),下列敘述那些是正確的?(符號∞代表距離無限大)
(A)節點 1 至節點 3 的最短路徑之長度為 9(B)節點 5 至節點 2 的最短路徑之長度為 2(C)節點 3 至節點 5 的最短路徑之長度為 10(D)點節 2 至節點 4 的最短路徑之 長度為 4。
65. 有關於 UML 類別圖(Cla ss Diagram),下列那些敘述是正確的? (A)實作關係(Realization)是具體類 別(Concrete Class)和抽像類別(Abstract Class)之間的關係(B)類別間的聚合關係(Aggregation)比組 合關係(Composition)更強(C)兩類別的連結關係(A ssocia tion),代表兩類別的物件會有訊息傳遞(Me ssage Passing)(D)一般化關係(Generaliza tion)是父類別(Super Class)與子類別(Sub Class)之間的關 係。
66. 下列有關抽象化資料型態(Abstrac t Data Type)之介面,哪些是不正確的?(A)LISP 之抽象化資料型 態介面是 list(B)C++之抽象化資料型態介面是 virtual(C)Java 之抽象化資料型態介面是 c lass(D)Ada 之抽象化資料型態介面是 package。
67. 有關 MAN、WAN、LAN 的敘述,一般而言下列那些正確?(A)LA N 速度最快(B)MA N 涵蓋範圍最 大(C)WAN 速度最慢(D)LAN 涵蓋範圍最小。
68. 執行完下列 C++語言程式片段後,那些敘述正確?
(A)**(p+1)=20(B)**p =40(C)**p+3 =30(D)**(p+3)=30。
69. 依序讀入 1,2,3,4,5,6,並建造一棵 AVL 樹,下列那些正確?(A)5 為 6 的父節點(B)3 與 6 在同一階 層(C)1 與 3 在同一階層(D)3 為 2 的父節點。
70. 關於 AVL 樹,下列那些正確?(A)任何兩個樹葉節點所在階層的差值至多為 1(B)同一階層的任兩個 子樹的高度差至多為 1(C)新插入一個節點,至多需要兩次旋轉(D)同一個節點的左右兩個子樹的高 度差至多為 1。
71. 下列敘述那些是正確的?(A)容錯系統(Fault-to lerant)是 SIMD 架構(B)向量式電腦是 MIMD 架構(C) 單指令流單資料流(SISD)是不具平行處理效能之系統(D)向量式電腦(Vec tor Computer)是單指令流 多資料流(SIMD)架構。
72. 有關於資料庫中候選鍵(Candidate Key)的敘述,下列那些是正確的?(A)一個候選鍵有可能為兩個屬 性的集合(B)一個表格有可能有兩個候選鍵(C)任一個候選鍵都是表格中滿足唯一性的最小屬性子集 (D)表格中任兩筆資料(Tuple)的候選鍵值可能相同,但主要鍵(Prima ry Key)值必定不相同。
73. 程式語言在實作多維陣列(Multid imensional Array)與儲存記憶體間之對應時,可以使用不同方 式,若有一個 3×3 的二維陣列 A[1..3,1..3 ],其在記憶體中之值排列順序為:3,1,9,6,4,2,5,7,8,下 列那些敘述為正確?(A)當採用 Row Major 順序時,A[3,1]=5(B)當採用 Co lumn Major 順序時,A [2,1]=1(C)對於一個一維陣列,採用 Row Major 或 Column Major 方式儲存資料,結果並不相同(D) Row Major 方式不可用於三維以上陣列。
74. SQL 語法的指令順序不能隨意更動,而且某些指令必須一起搭配來查詢,以下那些指令組合或順 序為錯誤的?(A)SELECT-FRO M-WHERE -GROUP BY-ORDER BY(B)SELECT-FRO M-WHERE-H A VING(C)SELECT-FRO M-WHERE-HAVING-G ROU P BY(D)SELECT-FRO M-G ROU P BY-HAVING。
75. 關於分支度(Order)為 m 的 B-tree,下列那些正確?(A)樹根儲存的資料數量為 1 至 m-1(B)樹根以外 的樹節點儲存的資料數量為 1 至 m-1(C)新增一筆新資料時,若無節點分割的情形,新增的資料一 定存入葉節點(D)搜尋資料時,最壞情形下,所檢查過的節點數量,正好是樹的高度。
76. 在 ANSI/SPARC 三層架構中,以下的敘述那些為正確?(A)主要目的為達成物件導向的特性(B)修改 內部層(Internal Layer)並不會影響概念層(Conceptual Layer)(C)主要目的為達成資料獨立的特性(D) 修改概念層(Conceptual Layer)並不會影響外部層(Exte rnal Layer)。
77. 下列那些是 PHP 錯誤訊息類型?(A)Fa tal error(B)Notice(C)Strict(D)Exception。
78. 軟體系統發展之物件導向技術中,下列那些為建立繼承關係時所採用的方式?(A)自下而向上一般 化(Generalization)(B)從內到外擴展化(Expansion)(C)從複雜到簡單化(Simp lifica tion)(D)自上而下特 殊化(Specialization)。
79. 下列那些項目不屬於特種個資?(A)健檢資料(B)犯罪前科(C)財務情況(D)社會活動。
80. 下列 C++語言程式片段執行後,那些值包含在 s 的輸出中?
(A)50(B)70 (C)90(D)110。