阿摩線上測驗
登入
首頁
>
技檢◆電腦軟體設計-C++-乙級
> 114年 - 11902 電腦軟體設計(C++) 乙級 工作項目 01:C++ 1-50(2025/12/16 更新)#134966
114年 - 11902 電腦軟體設計(C++) 乙級 工作項目 01:C++ 1-50(2025/12/16 更新)#134966
科目:
技檢◆電腦軟體設計-C++-乙級 |
年份:
114年 |
選擇題數:
50 |
申論題數:
0
試卷資訊
所屬科目:
技檢◆電腦軟體設計-C++-乙級
選擇題 (50)
1. C++語言將分號放在 if 指令敘述右小括號後面,會發生以下何種情況?(A)邏輯錯誤 (B)語法錯誤 (C)編譯錯誤 (D)執行時期例外錯誤 。
2. 有關 C++語言中變數命名,下列那一個錯誤? (A)Void (B)_123 (C)print (D)int 。
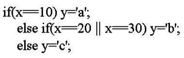
3. 有關 C++語言中控制結構的敘述,以下那一個錯誤? (A)while 判斷後面的條件,若成立就做迴圈主體 (B)for 後面小括號內可以給初始值、條件判斷與每次迴圈前必做動作 (C)if 後面小括號內為條件判斷式 (D)switch 若沒有 break 則會繼續執行下去 。
4. C++語言要比較二個字串大小,要使用以下那一個函式或運算子? (A)equals (B)= (C)compareTo (D)== 。
5. C++語言停止程式執行的指令,是以下那一個? (A)quit(0); (B)end(0); (C)abort(0); (D)exit(0); 。
6. 若 C++語言的函式沒有回傳值,在方法名稱前面要使用以下那一個保留字? (A)public (B)private (C)void (D)null 。
7. 若 C++語言的函式有回傳值,在方法主體內要使用以下哪一個保留字?(A)void (B)throws (C)return (D)invoke 。
8. 有關 C++程式寫作風格,以下何者正確? (A)每一行長度最好不要少於100 字 (B)程式設計師寫作風格不標準,程式將無法編譯執行 (C)註解符號可以使用//...和/* ... (D)一個變數宣告使用一行比較好 。
9. 有關 C++程式一般寫作風格(coding convention),以下何者錯誤? (A)指標變數命名以小寫 p 開頭 (B)最好以動作命名函式(Function) (C)全域常數命名以大寫字母和底線區隔複合字 (D)程式指令最好全部都往左對齊,不要有任何空白縮排 。
10. 有關 C++語言前置處理的描述,何者正確? (A)前置處理指令屬於 C 的語法指令 (B)前置處理指令只能出現在程式的最前頭 (C)前置處理是在編譯前進行 (D)#include 和 #set 是前置處理指令 。
11. 有關 C++語言的變數命名,以下何者正確? (A)%abcd (B)1abcd (C)fruit-apple_long_name (D)_a_long_name 。
12. 下列何者為 C 語言的動態記憶體管理函數? (A)new, delete (B)malloc,free (C)copy, paste (D)define, typedef 。
13. 下列 C++之 typedef 用法何者正確? (A)typedef integer; (B)typedef int; (C)typedef int integer; (D)typedef integer int; 。
14. C++語言的字串是字元陣列,使用那一個字元標示字串的結束? (A)'\n'(B)'\0' (C)'\t' (D)'\r' 。
15. 對於 C++ 語言特性的敘述,以下那一個錯誤? (A)變數和陣列的儲存特性是暫時性的儲存,該應用程式結束就會消失 (B)當超出區域變數範圍時,區域變數資料將無法使用 (C)檔案可以長期維持大量資料 (D)資料放在檔案中稱為短暫瞬間資料 。
16. 以下何者不是 C++ 語言整數資料型態? (A)double (B)short (C)byte (D)int 。
17. 以下何者是 C++ 語言的關鍵字(Keyword)? (A)BIOS (B)this (C)then (D)pointer 。
18. 以下哪一個 C++ 語言運算子有最高的優先等級? (A)unary + (B)binary +(C)% (D)* 。
19. C++ 語言宣告陣列 int x[100],最小索引值是以下那一個? (A)-1 (B)0 (C)1(D)2 。
20. C++ 語言宣告陣列 int x[100],最大索引值是以下那一個? (A)98 (B)99(C)100 (D)101 。
21. 如果 C 語言遞迴函式沒有基本案例(Base Case),以下那一個敘述正確?(A)程式將產生不正確結果 (B)產生編譯錯誤 (C)產生MissingBaseCaseException (D)程式無法停止 。
22. 有關引入(include)輸出輸入所需各種功能的相關宣告,下列語法何者正確? (A)#include < iostream.h> (B)#include <Iostream.h> (C)#include<iostream> (D)#include "iostream" 。
23. 若 C 程式巨集(macro)定義如下,程式執行結束後之結果為何? (A)ans1=12, ans2=23 (B)ans1=12, ans2=35 (C)ans1=30, ans2=23 (D)ans1=30,ans2=35 。
24. 函數 f1 之第一個參數的資料結構為陣列,下列有關陣列在函數 f1 之宣告方式,何者是正確? (A)void f1(int array, int size); (B)void f1(int&array, int size); (C)void f1(int array(100), int size); (D)void f1(floatarray[], int size); 。
25. 函數 f1 之第一個參數的資料結構為陣列 int pages[10][30];,下列有關二維陣列在函數 f1 之宣告方式,何者是正確? (A)void f1(int pages[][], intsize); (B)void f1(int pages[][30], int size); (C)void f1(int pages[10][], intsize); (D)void f1(int& pages, int size); 。
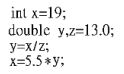
26. 若 p1 為一個陣列指標,欲釋放陣列記憶空間,下列寫法何者是正確?(A)delete [] p1; (B)delete p1[]; (C)delete *p1; (D)delete p1; 。
27. 若 C++程式片段如下,下述何者在執行編譯(Compile)時是正確的?
(A)ptr1 = "training"; (B)*ptr1 = 'S'; (C)ptr2 = "area"; (D)*ptr2 = 'P'; 。
28. 若 C++程式片段如下,下述何者在執行編譯(Compile)時是正確的?
(A)ptr1 = "knowledge"; (B)*ptr1 = 'D'; (C)ptr2 = "management"; (D)*ptr2 ='S'; 。
29. 下列 C++之語法何者與(!(x<15 && y>=3))同義? (A)(x>15 && y<=3)(B)(x>=15 && y < 3) (C)(x>=15 || y < 3) (D)(x>15 || y < 3) 。
30. 依據以下之定義,下列之用法何者正確?
(A)SOCCER-- = BASEBALL (B)BASEBALL++ = SOCCER (C)HOCKEY + FOOTBALL <>SOCCER (D)FOOTBALL <= SOCCER 。
31. 下列 C++程式片段,輸出結果何者正確?
(A)1 (B)2 (C)3 (D)4 。
32. 依據 C++以下之變數宣告,下列之用法何者錯誤?
(A)p=q; (B)*p=56; (C)p=x; (D)*p=*q; 。
33. 依據 C++以下之變數宣告,欲將 num 值加 1,下列敘述何者正確?
(A)p++; (B)(*p)++; (C)(&num)++; (D)(*num)++; 。
34. 在會議室有 n 個人,每個人彼此會握手寒喧一次,欲知道此 n 個人共握手幾次,下列遞迴函式之寫法何者是正確的?(A)
(B)
(C)
(D)
。
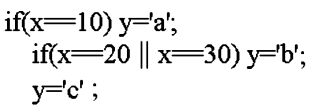
35. 有一 C 語言之 switch 敘述如下,此敘述等同於下列那一個程式片段?(A)
(B)
(C)
(D)
。
36. 依據以下之 C++程式片段,其輸出結果何者正確?
(A)ALGEBRA (B)0 (C)1 (D)"ALGEBRA" 。
37. 對於 C 語言字串的定義,以下那一個錯誤? (A)char s[]="123"; (B)chars[3]="123"; (C)char s[]="1"; (D)char s[]={'1', '2', '3', '\0'}; 。
38. C 語言宣告 2 維陣列 int num[3][4],有一指標變數(int *p)指向此二維陣列的的一個元素,以下那一個方式正確? (A)p=num; (B)p=num[1][2]; (C)p=num[0][0]; (D)p = *num; 。
39. C 程式中宣告 double d[2][3]且所有元素都給定值後,以下那一個可以取出特定元素的值? (A)d[2][3] (B)*(*d+1) (C)**(d+2) (D)*(d+1) 。
40. 對於 C 程式的宣告 char s[5][6]; char *p;,下列那一個正確? (A)p=s; (B)p=s[2][4]; (C)p=s[0][0]; (D)p = *s; 。
41. C 語言陣列敘述,以下哪一個正確? (A)char a[10]; gets(); (B)chara[1],b[2]; gets(a,b); (C)puts("AAA BBB"); (D)char a[3]; scanf("%f",a); 。
42. 對於 C 程式的宣告,char *b, *d[8]; int x=5, y, *z; 以下那一個比較正確? (A)b= malloc(x*sizeof(char)); (B)b=(char *) malloc(x* sizeof(char));(C)d=(char *) malloc(x* sizeof(char)); (D)x = (int *) malloc(y*sizeof(int)); 。
43. 對於以下 C++程式,執行後發生編譯錯誤的是那一個? (A)if ( answer ==7 ) printf( "correct" ); else printf( "incorrect" ); (B)printf( answer !=7 ? "correct" : "incorrect" ); (C)printf( answer <> 7 ? "correct" :"incorrect" ); (D)answer == 7 ? printf( "correct" ) :printf( "incorrect" ); 。
44. 針對以下 C++程式片段,執行後 x 值是以下那一個?
(A)0 (B)1 (C)2 (D)3 。
45. 針對以下 C++程式片段,執行後 x 值是以下那一個?
(A)8.04 (B)5.5 (C)8(D)5 。
46. 針對以下 C++程式片段,執行後 sum 值是以下那一個?
(A)10 (B)15 (C)55(D)66 。
47. 針對以下 C++程式,執行後輸出是以下那一個?
(A)2 (B)3 (C)4 (D)5 。
48. C++程式指令 printf("%6.2f", 597.7231); 執行後輸出為以下那一個? (A)597.723 (B)597.72 (C)000597.72 (D)597 。
49. 下列之宣告何者是同義?
(A)甲丁 (B)丙丁 (C)甲丙 (D)丙戊 。
50. 對於以下 C 程式,執行後輸出是那一個?
(A)3 (B)4 (C)5 (D)6 。
申論題 (0)
相關試卷
114年 - 11902 電腦軟體設計(C++) 乙級 工作項目 01:C++ 101-165(2025/12/16 更新)#134968
114年 · #134968
114年 - 11902 電腦軟體設計(C++) 乙級 工作項目 01:C++ 51-100(2025/12/16 更新)#134967
114年 · #134967
114年 - 114-2 全國技術士技能檢定學科_乙級:11902 電腦軟體設計(C++)#130227
114年 · #130227
111年 - 111-2 全國技術士技能檢定學科_乙級: 11902 電腦軟體設計(C++)#131398
111年 · #131398
110年 - 110-2 全國技術士技能檢定學科_乙級:11902電腦軟體設計(C++)#112843
110年 · #112843
109年 - 109-2 技術士技能檢定學科_乙級:11902電腦軟體設計(C++)#88238
109年 · #88238
108年 - 108-2 技術士技能檢定學科測試試題-乙級:11902 電腦軟體設計(C++)#81915
108年 · #81915