所屬科目:技檢◆電力電子-甲級
2. 下圖所示之電路,若負載為電阻性,則在開關 S1 閉合(ON)之瞬間,其接點上之火花現象為何?(A) 無火花(B)反應對 C1 之充電電流的火花(C)反應負載電流之火花(D)火花時有時無。
6. 如下圖所示之三相全波半控整流器電路,若輸入 a 相電壓為 Van(t)=600 sin (ωt )V、閘流體均為理 想、R=10Ω、L=10mH,當三相平衡條件下 a 相觸發角 α= 80°且電感電流為連續之負載平均電 壓為多少?(A)582V(B)650V(C)626V(D)604V。
14. 一並聯 RC 電路在頻率為 f 1 時,阻抗為(1-j6 )Ω;在頻率為 f 2 時,阻抗為(5-j15 )Ω,求其頻率比 為(A)2(B)1(C)2.5(D)4。
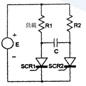
15. 下圖所示之電路,其中兩個 SCR 之電流額定容量的選擇為何?(A)SCR1=SCR2(B)SCR1>SCR2(C)S CR1<SCR2(D)無特定之規則。
17. 如下圖,你知道這是什麼標章嗎?(A)環保標章(B)奈米標章(C)能源效率標示(D)省水標章。
19. 下圖中由 R2,C 及 SCR2 所組成電路主要作用為何?(A)保護 di/dt(B)換向電路(C)緩震作用(D)增加容 量。
22. 下圖所示可控制功率開關之電流-電壓特性曲線(i-v Curve),以下功率元件何者具有此特性?(A)GT O(B)P-channel MOSFET(C)N-channel MOSFET(D)SCR。
32. 下圖所示電路中,i O 電流為連續,若正負半波對稱觸發且(T1、T4 )及(T2、T3 )成對導通,則 i D 波形 為何?(A) (B) (C) (D) 。
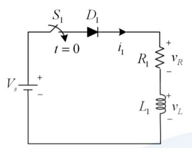
33. 如下圖所示,二極體為理想特性,若開關 S1在時間 t=0 時導通,且電感之電流初值為零,則電流 的響應為何?(A) (B) (C) (D) 。
34. 下圖所示之電路,其中兩個 SCR 之功能為何?(A)觸發延遲電路(B)並聯電路(C)SCR1 為主控開關,S CR2 為輔助觸發開關(D)SCR2 對 SCR1 之強制換流電路。
35. 下圖所示之高通濾波器電路,當輸入正弦波之頻率恰等於此電路之-3d B 頻率時,則輸出波形之相 位比輸入波形為(A)領先 45°(B)落後 90°(C)領先 90°(D)落後 45°。
43. 下圖所示之直流截波器(DC Chopper),當 E1=100V、E2=75V,交換(sw itch ing)週期為 10 ms 時, 則 S 開啟(ON)時間應為多少?(A)7.5ms(B)5.5ms(C)3.5ms(D)2.5ms。
44. 下圖所示之並聯諧振電路中,自然頻率(Na tural Frequency)為 f O、輸入訊號為一頻率 f in 之 PWM 方 波電流源,當 f i n>f O 時,此諧振電路呈下列何種負載特性?(A)電容性(B)電阻性(C)電感性(D)主動性。
51. 下圖所示電路中,欲使齊納(Zener)二極體正常工作,RL 最小值為多少?(A)50(B)10(C)5(D)100 Ω。
55. 一直流升降壓式轉換器之電路如下圖所示,設電路由理想元件組成,並操作於穩定狀態。開關切 換頻率為 100kHz,VS==20V,VO=-30V,R=10Ω,則使 為連續之最小電感為多少 μH?(A) 8(B)4(C)2(D)6。
57. 一 RLC 串聯電路,已知電源電壓 VS (t)=50 in(500t-30° )伏特,電源電流安培,若 L=0.5H,則 R 與 C 為?(A)R=125Ω,C=6μF(B)R=25Ω,C=8μ F(C)R=100Ω,C=2 μF(D)R=50Ω,C=4μF。
64. 有關被動符號慣例功率之敘述,下列哪些選項正確?(A)理想無損失電路,負載吸收總平均功率不 等於電源供應總平均功率(B) ,若 ,表示電源正在供應功率(C) ,若 ,表示負載正在吸收功率(D)功率之單位為焦耳(Jou le)。
70. 試以戴維寧定理求出下圖電路中的V1 及 A B 兩端的戴維寧等效電阻Rt h 值為(A)Rth=6Ω(B)V1=3V (C)V1=6V(D)Rth=3Ω。
75. 下列選項中哪些為或閘(OR gate)之元件符號?(A) (B) (C) (D) 。
77. 理想變壓器的極性標示如下圖之黑點,則下列敘述何者正確?(A)V1 /V2=-N1 /N2(B)I 1 /I2=-N2 /N1(C)V 1 /V2=N1 /N2(D)I 1 /I 2=N2 /N1。