所屬科目:研究所、轉學考(插大)◆線性代數
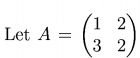
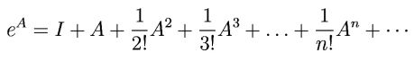
2. . Find an invertible matrix S that diagonalizes A, and compute AS. Apply the result, compute , where is defined by
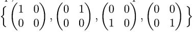
4. Let T : be defined by T(A) = . Provethat T is a linear map, and find the matrix representation of T withrespect to the basiswhere is the transpose of A.
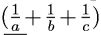
5. State the Cauchy-Schwarz inequality in . Applying the inequal- ity to show 9 ≤ (a+b+c) for all positive real numbers a, b, c, and also x + 2y + 3z ≤ √14 on the sphere x2 + y2 + z2 = 1.