所屬科目:電路學
一、如下圖所示的交流電橋電路,已知 = 220cos(377t + 10°) V、、 、C = 0.05 μF。當該交流電橋電路調整至時,恰好 使流經該電橋中間交流電流錶的電流為零值,試求此時 之值。
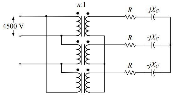
二、如下圖所示,為一個平衡三相正相序電源經由理想的三相變壓器組 (three-phase transformer bank)連接至一個三相平衡之 RC 串聯負載。已知該電路之參數為:n = 5、R = 8 Ω、,試求該三相變壓器組兩側的線電壓有效值與相電壓有效值、線電流有效值與相電流有效值, 以及三相負載端吸收的三相總實功、三相總虛功。
三、如下圖所示,為利用一個理想的單刀三投開關(ideal single-pole three- throw switch)做切換之電路,該開關在位置 a 已經很長一段時間了,並在 t = 0 s 瞬間切換至位置 b,之後又在 t = 1 s 瞬間切換至位置 c。若 、C = 0.25 F、R0 = 1 Ω、R1 = 3 Ω、R2 = 10 Ω、L = 4 H,試求圖 中 v(t)在所有時間範圍的響應。