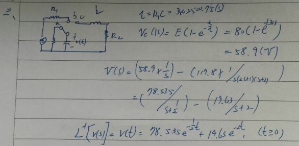
三、如下圖所示,為利用一個理想的單刀三投開關(ideal single-pole three- throw switch)做切換之電路,該開關在位置 a 已經很長一段時間了,並在 t = 0 s 瞬間切換至位置 b,之後又在 t = 1 s 瞬間切換至位置 c。若
、C = 0.25 F、R0 = 1 Ω、R1 = 3 Ω、R2 = 10 Ω、L = 4 H,試求圖 中 v(t)在所有時間範圍的響應。

詳解 (共 1 筆)
詳解
