所屬科目:高中指考◆數學甲
1. 已 知 45° <θ <50°,且設 a=1-cos2θ、b=-cosθ 、c= 。關於 a,b,c 三個數 值的大小,試選出正確的選項。 (A) a<b<c(B)a<c<b(C)b<a<c(D)b<c<a(E)c<a<b
3. 根據實驗統計,某種細菌繁殖,其數量平均每 3.5 小時會擴增為 2.4 倍。假設實驗 室的試管一開始有此種細菌 1000 隻,根據指數函數模型,試問大約在多少小時 後此種細菌的數量會到達 4✖1010 隻左右?(註: log 2 0.3010 , log 3 0.4771) (A)63小時 (B)70小時 (C)77小 時 (D)84小 時 (E)91小時
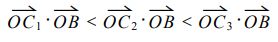
4. 在坐標平面上,設 O 為原點,且 A、 B為異於 O 的相異兩點。令 C1 , C2 , C3 為平面上 三個點,且滿足 , n =1,2,3,試選出正確的選項。 (A) (B) (C) (D) (E) C1 , C2 , C3 在同一直線上
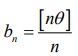
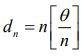
5. 對一實數 a , 以 [a] 表示不大於 a 的最大整數,例如:。 考慮無理數 ,試選出正確的選項。 (A) a-1<[a]≤a 對任意 實 數 a 均成立 (B) 數 列 發散, n為正整數 (C) 數 列 發散, n為正整數 (D) 數 列 發散, n為正整數 (E) 數 列 發散, n為正整數
6. 設 F( x ) 、 f (x) 皆為實係數多項式函數。已知 F'(x)= f(x) ,試選出正確的選項。 (A) 若 a ≥0 , 則 (B) 若 F (x) 除 以 x 的商式為 Q (x) , 則 Q(0)=f(0) (C) 若 f (x) 可 被 x +1整除,則 F(x)-F (0) 可 被 (x +1)2 整 除 (D) 若對所有實數 x, 都成立,則對所有實數 x,f(x)≥x 也都成立 (E) 若對所有x>0 ,f(x)≥x 都成立,則對所有 x > 0 , 也都成立
7. 在複數平面上,設 O 為原點,且 A、 B分別表示坐標為複數 z 、 z +1的點。已知 點 A、 點 B 都在以 O 為圓心的單位圓上,試選出正確的選項。 (A) 直 線 AB 與實數軸平行 (B) △OAB為直角三角形 (C) 點 A在第二象限 (D)z3=1 (E) 坐標為 的點也在同一單位圓上
8. 設二階實係數方陣 A代表坐標平面的一個鏡射變換且滿足 ;另設二 階實係數方陣 B 代表坐標平面的一個(以原點為中心的)旋轉變換且滿足 ,試選出正確的選項。 (A) A恰有三種可能 (B) B恰有三種可能 (C) AB=BA (D) 二階方陣 AB 代表坐標平面的一個旋轉變換 (E)
A. 在坐標空間中,設 O 為原點,且點 P為三平面 x-3y-5z=0 、 x-3y+2z=0、 x + y= t 的交點,其中 t > 0。 若 , 則 t = 。(化成最簡根式)
B. 考慮坐標平面上相異三點 A、 B 、 C ,其中點 A 為 (1,1) 。分別以線段 為 直徑作圓,此兩圓交於點 A及 點 P(4,2)。已知 且 點 B在第四象限,則點 B 的坐標為 ( ___ , _____)。
(D) 求定積分之值。( 4 分 )
(2) 試求向量 ( 以 t 的式子來表示)。( 2 分 )
(4) 當時,求點 G 到平行四邊形 AQPR 所在平面的距離。( 4 分 )