所屬科目:公職◆渠道水力學
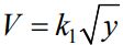
一、一座三角形斷面渠道如圖所示,渠道水深 y0、頂寬 b。渠道中水深 y 所對 應的速度分布(velocity distribution),k1為常數。試計算此渠道 之斷面平均速度(average velocity),及其能量修正係數α(kinetic energy correction factor)與動量修正係數β(momentum correction factor)。(25 分)
三、一矩形渠道水深 1.5 m 之均勻流況,若渠道中有一底部光滑隆起高 0.20 m, 且造成水位略降 0.15 m 之情況,如圖所示。假設忽略能量損失,試推估其單位寬度流量。(25 分)