所屬科目:鋼筋混凝土學與設計
一、已知一梁斷面為矩形,寬度50 cm、深度70 cm、有效深度d=61 cm,結構 分析須抵抗設計彎矩Mu= 160 tf-m,以雙筋梁作設計,目標中性軸深度 c = 0.375 d,試求滿足強度要求ϕMn≥Mu所需的最少拉力鋼筋量As和壓力 鋼筋量 A' s(答案單位cm2至小數點後二位)。假設壓力筋深度d '=7 cm,混 凝土規定抗壓強度 f ' c =280 kgf/cm2,鋼筋降伏強度 fy=4200 kgf/cm2,鋼筋 降伏應變0.002。
二、一鋼筋混凝土方柱斷面示意圖如下,對稱配置4支D25鋼筋,沿對角線方 向受一軸壓力Pn,使混凝土受壓側最外緣應變達0.003時,角落受拉鋼筋應 變恰好為0.005。試求此應變狀態之標稱軸壓力Pn和偏心距e =?已知混凝 土規定抗壓強度 f 'c =280 kgf/cm2,鋼筋降伏強度 fy=4200 kgf/cm2,鋼筋彈 性模數= 2,040,000 kgf/cm2,D25鋼筋單支斷面積5.07 cm2。假設混凝土受 壓區平均應力0.85 f 'c 且深度仍為β1c,其中c為中性軸深度而β1= 0.85。
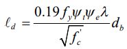
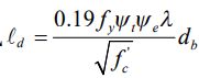
三、一建築物柱示意圖如下,原設計縱向鋼筋配置12支D32鋼筋(直徑3.22 cm)。 規範規定耐震柱縱向鋼筋之搭接僅容許於構材淨長之中央 內,鋼筋並應 考慮為拉力搭接。若施工時擬於柱中央斷面全部搭接12支D32鋼筋,試依 規範計算鋼筋搭接長度為若干cm?是否能夠在柱淨高之中央 內完成搭 接?若否,請提出可能的解決方案? 已知混凝土規定抗壓強度f ' c =280 kgf/cm2,鋼筋降伏強度 fy=4200 kgf/cm2, 受拉伸展長度 之簡易估算公式