所屬科目:統計學
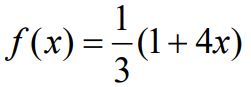
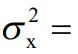
(一)求 ?
(二)求 ?
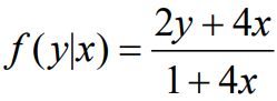
二、若且 ,其中0 <x < 1且0 < x< 1。求Y的邊際機率。
三、研究員想要了解抽不抽菸是否與壽命的長短有關,因此隨機抽查 400 位 非意外死亡的民眾,結果如下:
試在 α=0.05 下,以卡方檢定,檢定抽不抽菸是否與壽命的長短有關? 註: 。
四、由 A、B、C 三條生產相同食品的生產線中,各抽取 4 件產品,得其平均 47 57 61 數分別為 348、353、356 公克,標準差分別為 公克。試求共同變異數之 95%信賴區間。註: 。
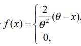
五、若 ,其中 。請利用動差法求 θ,即。