所屬科目:研究所、轉學考(插大)-流體力學
1.Mechanic Energy EquationThermal Energy Equation說明兩方程式各項的物理意義並討論兩方程式之間如何交互作用。 (10%)
(b)
(C)
3.某人沿一條南北向之公路往南走,車速每小時120km,如車上之溫度計記 錄之氣溫變化為6℃/hr,另外收音機氣象報告沿此公路各地氣溫都以每小 時2℃之變率上升,試問此時南北的溫度梯度大小與方向為何?(10%)
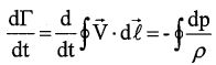
(3)由運動方程式推導出的環流量變化的方程式如下利用此方程式說明控制環流量變化之物理機制,並說明海陸風環流形成的原因。(10%)