所屬科目:研究所、轉學考(插大)-流體力學
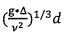
1. A simple relationship of particle fall velocity has been proposed as
where d = ; Δ=(<-ρ)/ρ; =density of particles; ρ=density of fluid; g = gravitational acceleration; v=a coefficient representative of fluid; and d=diameter of particles. Determine the dimension of d and v.
(1) What is the magnitude of the air velocity at a point (2) on the hill directly above the origin?
(2) What is the elevation of point (2) above the plain?
(3) What is the difference in pressure between point (3) and point (2)?
(1) The required air pressure in the tunnel (assuming the same air temperature for model and prototype) (use Reynolds number similarity)
(2) The drag on the prototype corresponding to a measured force of 10 N on the model (use 2D/(ρV2l2) similarity learned in class where D is the drag force, V is the velocity and l is the characteristic length) V = 240 mph
4. What are the major differences (assumptions, terms in the equation) between the Bernoulli equation and the energy equation derived from the Reynolds transport theorem? Express the difference in their governing equation mathematically and explain its physical meanings.
(a) θ = 0°,