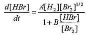
5. The H2 + Br2 reaction mechanism involves free radical carriers, molecules, or atoms with one or more unpaired electrons. Given the following possible elementary processes:
Show that the overall reaction rate is

and in the process evaluate A and B in terms of k1, k1, k2, ......(20%)