所屬科目:研究所、轉學考(插大)◆工程數學
(a)(5%)
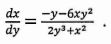
(b) = 9x. Obtain y(x) that subjects to (5%)
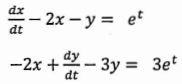
2. Solve the system of differential equations for x(t) and y(t). (10%)
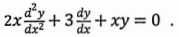
3. Find the series solution of the following differential equation about x = 0. (10%) You have to express the solution in the form of y(x) = C1y1(x)+ C2y2(x). To save time, you can only show the first five terms of y1(x) and y2(x).
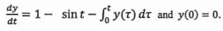
4. Use the Laplace transform to solve the problem and obtain y(t). (5%)
(b) Let (a≥0). Find I'(a). It is evident that I(0) = 0. Solve I(a). (5%)
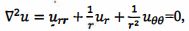
(a) Apply the divergence theorem to evaluate and S is the surface of the region bounded by the cylinder: r≤5, 0≤ θ ≤ 2π, 0≤ Z≤ 4. (5%)
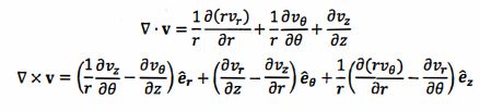
(b) Let F =Fㆍdr where C is a counterclockwise circle x2 + y2 = 9 on the xy plane. (5%) [Formula] Divergence and curl in cylindrical coordinates:
(a)Let A0 >0. The Fourier integral representation of b(ω) sin wx]dx. Find a(ω) and b(ω). (5%)
(b) Consider an infinite beam problem Elu"" + ku = f(x) with the loading f(x) given in (a). The deflection u can be solved and written as u(x)= d(ω) sin wxJdx. Find c(ω) and d(ω). (5%)
9. Solve the Dirichlet problem in polar coordinates:,u(1,θ)=0,u(2,θ)=10. (10%)
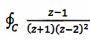
(b) Evaluate the integral by residue theorem. (5%)