所屬科目:鋼筋混凝土學與設計
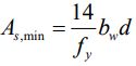
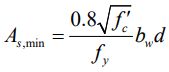
一、有一鋼筋混凝土梁的斷面為中空,如圖所示。梁斷面有效深度 d = 63 cm。 混凝土抗壓強度,鋼筋降伏強度。若梁斷面配置設計規範規定的最少撓曲鋼筋,試以最少鋼筋量計算此梁斷面的彎矩設計強度 為多少?
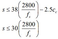
二、有一鋼筋混凝土簡支梁,跨度為 8 m。梁斷面為矩形,寬度 b = 45 cm,有效深度 d = 65.6 cm。梁全跨度承受均佈設計載重 。梁全跨度皆配置 8 支 D29 拉力鋼筋與 D13 閉合矩形剪力鋼筋。混凝土抗壓強度,拉力鋼筋降伏強度 ,剪力鋼筋降伏強度。試計算距支承 50 cm 處,設計規範容許之剪力鋼筋最大間距為多少?參考公式:請自行選擇適合的公式,並檢查其正確性,若有問題應自行修正。
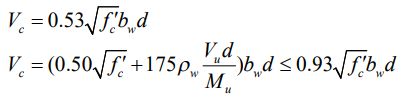
三、如圖所示為鋼筋混凝土梁的矩形斷面。配置 5 支 D25 拉力鋼筋與D13@15 cm 閉合矩形剪力鋼筋。剪力鋼筋之混凝土淨保護層為 4 cm。混凝土抗壓強度,拉力鋼筋降伏強度 ,剪力鋼筋降伏強度。試檢核鋼筋配置是否滿足設計規範對裂紋控制的規定?
參考公式:請自行選擇適合的公式,並檢查其正確性,若有問題應自行修正。
四、耐震設計的鋼筋混凝土柱之橫向鋼筋一般包括矩形閉合箍筋與繫筋。繫 筋一端具耐震彎鉤,另一端為至少 90° 之彎鉤。如圖所示為一耐震設計 的鋼筋混凝土柱斷面,配置 D25 縱向主筋,橫向鋼筋僅標示矩形閉合箍 筋。橫向鋼筋之混凝土淨保護層為 4 cm。混凝土抗壓強度 = 280 kgf/cm2,橫向鋼筋降伏強度 。若設計箍筋與繫筋有相 同的 12 cm 間距,且皆為 D13 鋼筋,試計算所需繫筋的數量(最經濟用量) ,且於斷面圖上標示繫筋的位置及繫筋彎鉤的排置。