所屬科目:測量學(概要、大意)
4 大地起伏(geoid undulation)為那兩種表面之間的距離差? (A)大地水準面與參考橢球面 (B)地表面與大地水準面 (C)平均海水面與大地水準面 (D)平均海水面與參考橢球面
7 水準測量規範中常以 為誤差的標準,其中 C 為常數,以為單位,K 為水準路線總長度, 以公里為單位。請問 指的是何種誤差? (A)中誤差 (B)或然誤差 (C)相對誤差 (D)容許閉合差
10 以測距精度 ± 5 mm 、測角精度 ± 0.01 度的測量儀器觀測遠方目標(如下圖,未依比例繪製),得斜距 S = 350 m ,仰角 a = 30 度,則觀測者至該目標水平距離之精度為何? (A) ± 0.03 m (B) ± 0.05 m (C) ± 0.025 m (D) ± 0.0025 m
19 某一水準測量作業,其測線總長為 12.9 km,閉合差為-15 mm,則該次測量之閉合常數 C 為何? (A)-1.2 mm / km (B) 1.2 mm / km (C) (D)
22 假設導線之橫距閉合差為 WE,縱距閉合差為 WN,導線總長度為 L,則導線閉合比數的計算公式為: (A) (B) (C) L / (WE + WN) (D)
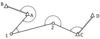
27 如 圖 為 一 附 合 導 線 , 已 知 AB 方 位 角 為φAB = 289°50〞40〞 , CD 方 位 角 為 φCD = 42°52'52〞 , 今 觀 測 ∠A= 291°09'30〞 ,∠1 = 34°26'12〞 , ∠2= 219°30'52〞 ,∠C=107°55'26〞 ,請問此導線之角度閉合差為何? (A) + 3〞 (B) -3〞(C) +12〞 (D) -12〞
30 如圖,為了測定 1,2,3,4 四個點位之平面坐標設置了一導線網,其中點 A 坐標以及 AB 邊之方位角為已知, 若一共觀測了 7 個角度及 6 個邊長,請問此次測量之自由度(多餘觀測數)為何? (A)3 (B)4 (C)5 (D)6