所屬科目:鋼筋混凝土學與設計
二、有一矩形斷面之鋼筋混凝土梁,梁斷面寬度為 b,有效深度為 1.5 b。 梁 斷 面 承 受 設 計 剪 力 Vu = 30 tf, 配 置 閉 合 矩 形 剪 力 鋼 筋 。 混 凝 土 抗壓強度 f 'c= 210 kgf/cm2,剪力鋼筋降伏強度= 2800 kgf/cm2。若僅考 量剪力強度,於配置最大量的剪力鋼筋時,試計算最小梁斷面寬度 b。 (25 分)
三、右圖所示為鋼筋混凝土梁柱接頭,於梁負彎矩處共配置四支 D25 拉力鋼 筋(非環氧樹脂塗布鋼筋) ,其中內側兩支 D25 拉力鋼筋將截斷。肋 筋為 D13@15 cm,肋筋之混凝土淨保護層為 4 cm。常重混凝土抗壓強 度 f 'c =280 kgf/cm2,彎矩拉力鋼筋之降伏強度為 4200 kgf/cm2,肋筋之降 伏強度為 2800 kgf/cm2。若僅考慮鋼筋之伸展長度,試計算最短之 。 (25 分)
D13 鋼筋之直徑 db = 1.27 cm,截面積 Ab = 1.27 cm2。 D25 鋼筋之直徑 db = 2.54 cm,截面積 Ab = 5.07 cm2。 * *環氧樹脂塗布鋼筋為頂層鋼筋時,該兩項修正因數之乘積 不須超過 1.7 。
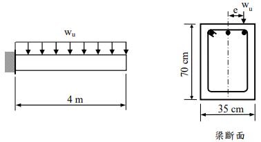
四、有一矩形斷面之鋼筋混凝土懸臂梁如圖所示,梁斷面寬度 b = 35 cm, 總深度 h = 70 cm,有效深度 d = 63 cm。懸臂梁整跨承受均布因數化載 重,此均載重為偏心如圖所示,均布因數化載重 wu = 3 tf/m。混凝土 抗壓強度 f 'c=210 kgf/cm2。試計算懸臂梁可不計扭力影響的最大偏心距 e。 (25 分) 參考公式:請檢查其正確性,若有問題應自行修正。