所屬科目:高職轉學考-數學
1. 設 A(0,0), B(4,4) 為平面上二點,若點 P(m,n) 在線段上,且 = 3:1, 則m+n之值為何? (A)3 (B)4 (C)5 (D)6
2. 在△ABC 中,設三邊長之比=7:5:3,則△ABC之最大內角為何? (A)45° (B)60° (C)120° (D)135°
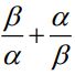
3. 設 α , β 為方程式x2-5x+3=0 的兩根,則之值為何? (A) (B) (C) (D)
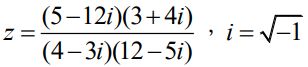
4. 設,則| z |之值為何? (A)1 (B) (C)2 (D)13
6. 求之值為何? (A) −5 (B) −3 (C)8 (D)11
7. 已知 a , b 為實數,若不等式x2+ax≤b之解為 −5≤x≤3,則 a+b= ? (A) −17 (B) −13 (C)13 (D)17
10. 已知 a、b 為實數,若f(x)=x3+ax2+bx-6,g(x)=x2-7x+6,且f(x)可被g(x)整除, 求2a+ 3b之值。 (A)23 (B)36 (C)39 (D)45
12. 求sin218°+sin236°+sin254°+sin272°+sin290 = ? (A)2 (B)2.5 (C)3 (D)3.5
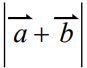
13. 已知,若夾角120° ,則= ? (A)5 (B)7 (C)12 (D)13
14. 設 x 、 y 、 z 為整數,且2| x+y |+3| x-y-4 |+5| 2x+3y-z |=4 ,則 z 可為下列何者? (A)0 (B)3 (C)5 (D)11
15. 設 (x-2y)4與 (x+2y)5的展開式中所有項的係數和分別為 a 、b ,則= ? (A) −2 (B) −1 (C) (D)2
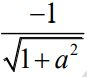
18. 若 tan41°= a ,則 sin2021°= ? (A)(B)(C)(D)
19. 多項式除以 x −1 的餘式為何? (A)43 (B)32 (C)35 (D)37
22. 若= (1,2)、 = −( 4,2) ,則= ? (A)2 (B)3 (C)4 (D)5
23. 若= ( k,6)、 = (3, −2) 且,則 k = ? (A)1 (B)2 (C)3 (D)4
25. 設 a、b、c 三個數均為正實數,且已知a+c=36 ,若 a、b、12 三數成等差數列, 且 2、b、c 三數成等比數列,則下列敘述何者有誤? (A)b+c=32 (B)a+b=12 (C)b2= 2c (D)2b=a+12