所屬科目:高職轉學考-數學
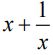
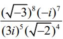
2.試求 ? (A) (B) (C) (D)
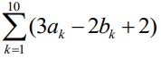
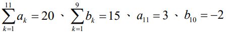
3.設 ,則= ?(A)45 (B)47 (C)50 (D)52
4.若函數f(x)=x2+6x-5在 x = α 時有最小值 β,則 α −β = (A) −11 (B) −15 (C) 11 (D) 17
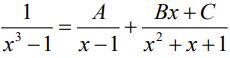
6.設,則 A+B+C= (A)1 (B) (C) (D)
7.設 ,則= (A)5 (B)4 (C) (D)6
8. 化簡= (A) (B) (C) (D)
9. 設,則複數的實部為何? (A) (B) (C) 2 (D) -2
10. 已知f(x)=, f (x) 除以 x +1 的餘式為何? (A)5 (B)6 (C)7 (D)8
15.△ABC 中,已知且∠ABC=60°,則= (A) 7 (B) 8 (C) (D)
16.若θ是第二象限角,且cosθ=,則 sinθ 之值為何? (A) (B) (C) (D)
17.的週期為何? (A)π (B)2π (C)10π (D)20π
18.若平面上兩向量 ,則由為兩相鄰邊所圍成的平行四邊形面積為 (A)7 (B)2 (C)14 (D)1
19.設,則 t = (A) −1 (B) 2 (C) −2 (D) 1
20. ,則 =? (A) -47 (B)17 (C) -7 (D)71
21.試求2x2+2y2+x+3y+1=0的圓面積為何? (A) (B) (C) (D)
24.若,則自然數 n = (A)5 (B)6 (C)7 (D)8