所屬科目:流體力學
二、如下圖,水柱水平方向撞擊傾角為30°之平板,請計算需要支撐該平板處於靜止狀態之力F為何?(20分)
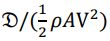
(二)預測原型船舶波阻力為多少kN?提示:阻力係數=(10分)
(一)圖(a)所示,x方向速度為m/s,請計算於座標(3,3)其y方向速度為何?(10分)
(二)如圖(b),流動為軸對稱,z方向速度為vz(z)=,請計算於座標(3,3)其r方向速度為何?(10分)提示:自然常數e=2.718;上方速度表達式中e之指數 x, z 均以單位m單位代入。
五、如下圖,請決定左右兩個水槽之水面高度差。(20分)