所屬科目:分析化學(含儀器分析)
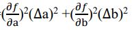
(三)該生以 0.010(±0.001)M 的標準氫氧化鈉滴定一杯體積為 50.00(±0.05) 毫升的鹽酸溶液。若滴入 25.00(±0.05)mL 時,滴定恰達終點,則該 鹽酸溶液中氫離子的體積莫耳濃度與偏差各為何?詳述計算過程,已 知若 A 是 a 與 b 的函數:A = f(a, b) ,且∆A、∆a 與∆b 分別為其偏差, 則:(∆A)2 =
(一)根據過錳酸根離子與離子的還原半反應,分別列出相關的能斯特 (Nernst)方程式。
(一)證明:在一杯 EDTA 溶液中,離子的莫耳分率(簡稱:α3)可表示如下,並詳述推導過程。
(二)若一杯 EDTA 溶液的 pH 值恰等於 6.0,則溶液中離子的莫耳分率 (簡稱:α4)為何?估計其數值,並詳述推導過程。
(三)該生以 pH 6.0 的酸鹼緩衝溶液配製出 50.00 mL、0.010 M 的某金屬離子溶液。已知該金屬離子的 值為(即= 11.70) , 試問加入多少毫升 EDTA 時滴定終點恰好出現?估計值準確至小數第 一位,並詳述推導過程。