所屬科目:分析化學(含儀器分析)
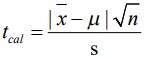
(一)請計算平均值、標準差以及在 95%信心水準下,此量測方法以 t 測試方法檢驗是否存在系統性誤差。(15 分)
(二)並說明其系統誤差(systematic error)來源。註:,95%信心度:t = 3.182(自由度 3);t = 2.776(自由度 4);t = 2.571(自由度 5) 。
(一)請算出當量點體積值為多少?
(二)當滴定 15.0 毫升時值為多少?
(三)當滴定 23.0 毫升時值為多少?
(四)當滴定 30.0 毫升時值為多少?
(一)
(二)
(三)
(一)請說明液相層析儀的偵測器特點,並對以下常用偵測器如紫外光可見 光(UV-Vis) 、螢光(Fluorescence)和電化學(Electrochemical)以及 折射率(Refractive index)和導電度(Conductivity)等來區別並說明 何謂溶質偵測器(Solute property detector)和總體偵測器(Bulk property detector)。(12 分)
(二)請分別說明氣相層析儀與液相層析儀在分析樣品的適用特性?(9 分)
(一)請說明掃描式電子顯微鏡(SEM)的組成元件與分析原理。(12 分)
(二)請說明感應耦合電漿質譜儀(ICP-MS)的組成元件與分析原理。 (12 分)