所屬科目:電機機械
一、下圖為一典型的環形電感,其環形鐵磁材料之導磁係數(permeability) 為 μ,外部繞線圈數為 N 匝。請依所使用之材料以及幾何結構,提出四 種提高該電感值的方法。(16 分)
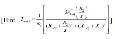
(三)在帶動同樣 100 牛頓•米負載的情況下,欲利用加入轉子電阻(即,從原本的 R2 變為) ,使轉速降為 1700 rpm,試問比值應為若干?
(二)不考慮電樞反應,當發電機為額定滿載(full load)輸出時,按圖(b)的串激與並激之加總效應,試問:相當於上表(磁化曲線)所列之總激 磁電流應為多少 A?(10 分)
(三)已知並激繞組匝數為=1200 匝/每極,今欲使此發電機之無載與滿載輸出端電壓俱為 200 V,則串激繞組之每極匝數 Ns 應為多少?(10 分)
(三)就此發電機之短路特性(short-circuit characteristics, SCC)曲線來看,相對於額定電流(rated current)輸出之所需場電流大小,應為若干 A?