所屬科目:教甄◆資訊科
1. 以 2 的補數所代表的二進位數 00011001 + 01100111 加完的結果,進位和溢位分別為何? (A) 無進位,無溢位 (B) 有進位,有溢位 (C) 無進位,有溢位 (D) 有進位,無溢位
2. 當 CLK 為 1kHz 時,以下哪個正反器的輸出不是 500Hz? (A) (B)(C) (D)
3. 如圖 1 所示之數位邏輯電路,當輸入時 ABCDEF = 011110,輸出 Z = 0;當輸入 ABCDEF = 000100 時,輸出 Z = 1,則該方框應為何種邏輯閘? (A) OR (B) AND (C) XOR (D) NAND
4. 若以兩個輸入端之 NAND 閘來執行兩個輸入端之 NOR 閘的工作,最少需使用幾個 NAND 閘? (A) 2 個 (B) 3 個 (C) 4 個 (D) 5 個
5. 由 8 個正反器所組成的同步式二進位計數器,可由 0 計數到最大值為多少? (A) 127 (B) 255 (C) 511 (D) 1023
6. 下列選項中數字系統轉換結果何者不同? (A) (B) (C) 64 (8) (D) 110100 (2)
7. 邏輯函數 F(A, B, C, D) = Σ(0, 2, 8, 12, 13),則 F 可化簡布林代數式為何? (A) (B) (C) (D)
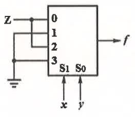
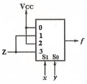
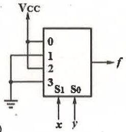
8. 有一邏輯函數 f(x, y, z) = Σ(0, 1, 4, 5),若使用 4 × 1 多工器來製作此函數,則下列何者正確? (A) (B) (C) (D)
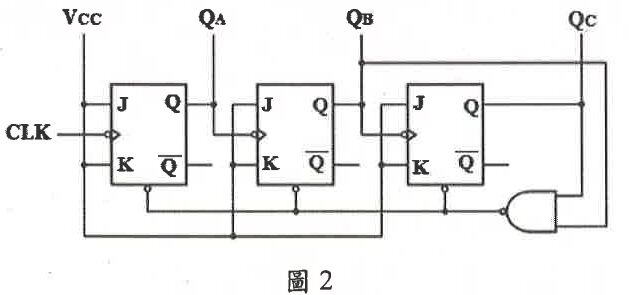
9. 如圖 2 所示電路,若 CLK 輸入為 30kHz 的時脈信號,則 Q 的輸出脈波信號為何? (A) 頻率 5kHz,工作週期 33.3% (B) 頻率 5kHz,工作週期 66.7% (C) 頻率 6kHz,工作週期 33.3% (D) 頻率 6kHz,工作週期 66.7%
10. 有二個完全相同之金屬球 A、B,其中 A、B 帶有正電荷 2Q 與 Q,當其相距 r 公尺時,其相互作用力為 4 × 10⁻⁵ 牛頓,若 A 球與 B 球接觸再放回原處,則相互作用力為多少? (A) 3 × 10⁻⁵ (B) 4 × 10⁻⁵ (C) 4.5 × 10⁻⁵ (D) 8 × 10⁻⁴ N
11. 某一金屬在 20℃ 時電阻溫度係數為 0.004,在 70℃ 之電阻為 600Ω,則在 170℃ 之電阻為多少 Ω? (A) 500Ω (B) 600Ω (C) 700Ω (D) 800Ω
12. 如圖 3 所示電路中,通過 5Ω 電阻器的電流大小為何? (A) 1.0A (B) 1.17A (C) 1.2A (D) 1.25A
13. 如圖 4 所示,此波形之平均值為多少? (A) -1V (B) -1/2V (C) 1V (D) 1/2V
14. 如圖 5 所示電路中,試問電阻的壓降為多少? (A) 10V (B) 20V (C) 30V (D) 40V
15. 使用一交直流電表測量一濾波電路的輸出訊號,獲得 25V 直流電壓及 4V 峰值之交流電壓,則漣波百分比為多少? (A) 5% (B) 9.5% (C) 11.3% (D) 16%
16. 如圖 6 與圖 7,RB 應為多少才能滿足 Q 點之條件? (A) 430kΩ (B) 43kΩ (C) 500kΩ (D) 50kΩ
17. 如圖 8 所示,其電壓增益為多少?(A) 99 (B) -91 (C) -100 (D) -199
18. 如圖 9 所示,求為多少? (A) (B)(C) (D)
19. 如圖 10 所示之共汲極 (CD) 放大電路,由源極向內看時,汲極上的電阻反射到源極時被放大多少倍? (A) 1 + µ 倍 (B) (C) 倍 (D) 倍
20. 如圖 11 所示,已知,則為多少? (A) -400 (B) -800 (C) -1600 (D) -2000
21. 如圖 12 所示,則下列選項敘述何者正確?(A) 若開關在 t=0 時轉至 1,則電容器充電儲能過程中,其電流 為 (B) 若開關在 t=0 時轉至 1,則電容器充電儲能過程中,其電壓為 (C) 若開關在電路呈穩定狀態後,由 1 轉至 2,則此時電容器之電流 ic 為 1A (D) 若開關在 t=10ms 時,由 1 轉至 2,則在 t=12ms 時之電容器上電壓為 6.75V。
22. 某平衡三相 Y 接負載,若每相 4 + j3 安培,接於線電壓 220 伏特之三相平衡電源時,則下列何者正確?(A) 功率因數為 0.6 落後 (B) 總負載功率 7744 瓦特 (C) 相電流 44 安培 (D) 線電流 44 安培
23. 如下圖 13,若鐵心中的,且假設鐵心與氣隙之截面積相同並忽略邊緣效應,求在氣隙中之磁場強度為何? (A) 1.78 × 10⁵ At/m (B) 3.98 × 10⁵ At/m (C) 5.64 × 10⁵ At/m (D) 7.13 × 10⁵ At/m
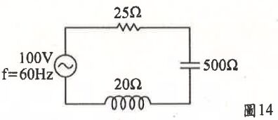
24. 如圖 14 所示之電路,試求此諧振電路的頻寬為何? (A) 150 Hz (B) 75 Hz (C) 60 Hz (D) 30 Hz
25. 如圖 15 之串級放大器,Vi = 1µV,下列敘述 何者為錯誤 ? (A) V₂ = 10mV (B) V₃ = 10V (C) P₃ = 100mW (D) 總增益 = 140dB
26. 如下圖 16 所示,假設電晶體在放大區域操作,試求其等效電阻 Zin 為何? (A) (B) (C) (D)ₑ
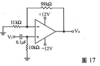
27. 如圖 17 所示電路,若 OPA 為理想,當頻率分別為 15.9Hz 及 1.59kHz 時,則以下電壓增益何者為最佳答案? (A) 0dB, 0dB (B) 0dB, 20dB (C) 20dB, 0dB (D) 20dB, 20dB
28. 二極體電路如下圖 18(a),兩二極體均具有如下圖 18(b) 之順向特性曲線,試問開關 S 打開及關閉,輸出電壓變化? (A) 0.25V (B) 0.2V (C) 0.15V (D) 0.1V
29. 下列有關稽納二極體之敘述, 何者錯誤 ?(A)累增崩潰時其稽納電壓為正溫度係數 (B)稽納崩潰時其稽納電壓為負溫度係數 (C)累增崩潰電壓往往是大於6V (D)稽納崩潰是由於熱效應所引發。
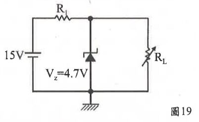
30. 有一電壓調整器如下圖 19 所示,其中稽納二極體為 4.7V 且最小工作電流為 12mA,若負載的變化範圍由 15mA~100mA,現若提供輸入直流電源 15V 時,試求該電路最佳 R₁ 電阻值至少為若干? (A) 91Ω (B) 81Ω (C) 71Ω (D) 61Ω
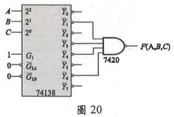
1. 如圖20,利用74138與7420各一個,設計最簡布林函數F(A,B,C)= _______ (1)
2. 如圖21所示為已接妥電源的IC 7447七段顯示解碼器電路與其輸入信號WXYZ的時序;在t0~t5的時間,七段顯示器顯示的數字依時序分別顯示數字為何?(設電路中的七段顯示器可正常顯示)_______(2)
3. 若由JK正反器組成漣波計數器16模數,每個正反器的延遲時間均為25ns,則此計數器所能工作的最高頻率為 ______ (3) Hz。
4. 有一數字系統運算式如所示,則基底X應為 ______ (4)。
5. 布林函數為F(A,B,C,D)= Π(1,3,5,7,9,11,13)+d(10,14,15),化為最簡式之SOP可得 ______ (5)。
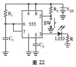
6. 如圖22所示電路,若R1=100kΩ,C1=100µF,當按鈕開關SW按一下後放開,則LED約亮多少時間後又熄滅? ______ (6) 秒。
7. 如下圖23所示,電感在開關S閉合前已無儲能,若開關S在時間t=0時閉合,則t>0的電壓v(t)= ______ (7) (V)。
8. 有一交流電路,電壓為v(t)=100√2sin(314t+15°)(V),電流i(t)=10√2sin(314t-45°)(A),則此電路功率因數為 ______ (8)。
9. 有一串聯電路,其諧振頻率f=1kHz,電阻R=5Ω,在諧振時XL=200Ω,則頻寬為 ______ (9) Hz。
10.
11.
11. 如圖25所示之IC555電路,D為理想二極體,在電路能正常工作下,若R1=1.5R2,則工作週期(duty cycle)為 ______ (12) (%)。
12. A、B兩圓形導線以同材料製成,A導線的長度為B導線的一半,A導線的線徑為B導線的兩倍,若A導線電阻=5Ω,則B導線電阻= ______ (13) Ω。
13. 三相平衡負載以△接線同時接於三相220伏特電源,其消耗功率為6kW,若改接成Y接線,其消耗功率為 ______ (14) W。
14. 如下圖26,欲使負載電阻R1獲得最大功率,則R1的值應為 ______ (15) Ω。
15. 如下圖27所示為一個理想的OPA電路,則= ______ (16) Ω。
16. 如圖28所示施密特觸發電路,其中R1=2kΩ、R2=1kΩ,輸出飽和電壓+=+15V,-=-15V,則磁滯電壓= ______ (17) V。
17. 如下圖29所示電路為RC相移振盪器,設運算放大器具理想特性,若R=650Ω,C=0.01µF,則輸出的振盪頻率約為= ______ (18) Hz。
18. 某矽二極體n=2,熱電壓(thermal voltage) =26mV。若其順向電流為2mA,則其動態電阻值= ______ (19) Ω。
19. 下圖30振盪器產生震盪頻率= ______ (20) Hz。