所屬科目:流體力學
一、一個負壓魚缸如下圖所示,水面下有一個開口可餵魚飼料,但水不會由開 口溢出,開口處的大氣壓力為 = 101.3 kPa,水的密度為 1,000 kg/m3, 試求魚缸上方的氣壓 P1 和底部的水壓力 P2 分別為何?(20 分)
二、一平板(1 m ✖1 m,重 13 N) 自一斜坡等速滑下,平板與斜坡之間有 0.5 mm 厚之潤滑油(動力黏滯係數 0.1 N-s/m2),求平板下滑速度?(20 分)
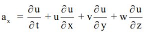
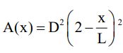
三、一個非穩態管流,流量為 Q = Q0 exp( t / T),流經一個正方形束縮斷面, 斷面積 A 隨距離 x 而變:式中 D = 0.8 m,L = 1.0 m,Q0 = 5.0 m3/s,T = 60 sec。試求在時間 t = 20 sec, x = 0.6 m 處的速度、時變加速度與位變加速度分別為何?(30 分) (提示:加速度 )
四、一輛大型巴士以行車速率 90 km/hr 在高速公路上行駛,巴士迎風面積為 8.0 m2,阻力係數為 CD = 0.75,車輛克服風阻所需的功率為何?若巴士受 側向風,阻力係數為 CD = 1.45,受風面積為 36.0 m2,巴士重量 10,000 kg, 會將車輛吹翻的風速為何?(30 分)