阿摩線上測驗
登入
首頁
>
捷運◆電機工程
> 112年 - 112 臺北捷運公司_新進工程員(二)甄試試題_電子維修類:電機工程#113641
112年 - 112 臺北捷運公司_新進工程員(二)甄試試題_電子維修類:電機工程#113641
科目:
捷運◆電機工程 |
年份:
112年 |
選擇題數:
0 |
申論題數:
10
試卷資訊
所屬科目:
捷運◆電機工程
選擇題 (0)
申論題 (10)
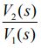
(一) 轉移函數
(二)v
2
(t)
(一) 二次側線對線電壓有效值?(10 分)
(二) 二次側線電流有效值?(10 分)
(一) 發電機感應電動勢。(10 分)
(二) 發電機的效率。(10 分)
(一) 三相鼠籠式感應電動機之功率因數?(10 分)
(二) 二個瓦特計之各讀值?(10 分)
(一) 試求工廠整體負載的功率因數。 (10 分)
(二) 為了改善工廠的功率因數,同步電動機將在不改變負載的狀況下,以過激磁方式(汲取領先電流)操作,試求出此 時同步電動機的功率因數。(10 分)
相關試卷
114年 - 114-1 桃園大眾捷運股份有限公司_新進人員招募甄試試題_領班(維修號誌類、維修電機類):電機電子工程#126139
114年 · #126139
114年 - 114-1 桃園大眾捷運股份有限公司_新進人員招募甄試試題_工程員(維修電機類):電機工程#126135
114年 · #126135
108年 - 10808 臺北捷運:電機工程#79377
108年 · #79377
103年 - 103 臺北捷運:電機工程#79616
103年 · #79616