所屬科目:公職◆渠道水力學
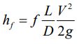
一、試求曼寧公式中係數n的因次?(5分)並解釋為何由公制的曼寧公式換成英制時係數變為1.49?(1公尺=3.28英尺)(5分)試推導出Darcy- Weisbach的管流摩擦係數f與曼寧n的關係式。(管流損失水頭)(15分)
二、三角形渠道,流量Q=30公升/秒,臨界水深為何?(10分)曼寧n=0.012, 底床坡降為6✕10-4,問此流況屬於亞臨界流或超臨界流?(15分)
五、一矩形渠道,水深2公尺,流速每秒1公尺,上游突然增大流量為原來的三倍,而造成一道向下游之湧浪,如圖,湧浪傳遞速度為。試列出連續方程式及動量方程式(可忽略底床摩擦力), (10分)並求解上游水深h1, 流速u1及湧浪速度。(15分)