所屬科目:高考三級◆反應工程及單元操作
(一)反應時間 t 與 X 間關係式。
(二)若反應為一級不可逆反應且 k =/秒 ,當轉化率達 90%時,操作時間約多少秒?
(一)試求 Damköhler number(Da)。
(二)若均為液相反應 A→B 且反應速率為,試以 Da 描述此反應器內轉化率 X。
(三)若均為氣相反應 A→B+C 且反應速率為,求反應器體積 V 與 X 間關係式。
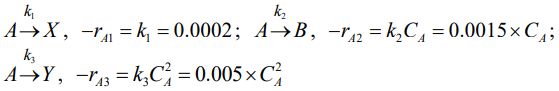
三、某反應物 A 在連續攪拌反應器內同時進行三個平行反應生成三個產物 X, B 與 Y,已知 B 為主產物,其對應反應速率式如下:求反應器在操作反應物 A 於那一個濃度值(kmol/m3)下,對應產物 B 的選擇性(selectivity)達最大。
(一)寫出槽內總量 M(kg)與時間 t 關係式。
(二)寫出(2)位置鹽水濃度 w(%)與時間 t 關係式。
(一)寫出流體在截面積 A = πR2 管內的層流速度 v 與位置 r 及關係式。
(二)求β值。
(一)若內外管壁溫度分別為 274.9 K 與 297.1 K,求移除多少熱流量(W)。
(二)若管外包覆厚 20 mm 絕熱材質其熱傳導係數為 k = 0.0692 W/m • K ,置於環境溫度為 285.1 K 且熱傳係數 ( heat transfer coefficient ) h = 34 W/m2 • K 之流體中。求散失熱流量(W)與臨界半徑(critical radius)。
七、某純氮氣平行通過面積 0.6 m2 丙酮液體表面。若丙酮液體溫度 290 K, 其蒸氣壓為 2.148✕104 Pa 且丙酮擴散至氮氣的質傳係數為 0.0324 m/s, 求丙酮擴散至氮氣中的流量(kmol/s)?(10 分)