題組內容
五、圖二描述①位置密度 ρ1 流體以速度 v1 進入截面積 A1 水平噴嘴,密度 ρ2 流體於②位置其截面積 A2 以速度 v2 噴出。若為層流(laminar flow),則定義動量速度因子
,其中
及
為平均速度。
(一)寫出流體在截面積 A = πR2 管內的層流速度 v 與位置 r 及
關係式。
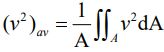
五、圖二描述①位置密度 ρ1 流體以速度 v1 進入截面積 A1 水平噴嘴,密度 ρ2 流體於②位置其截面積 A2 以速度 v2 噴出。若為層流(laminar flow),則定義動量速度因子
,其中
及
為平均速度。
(一)寫出流體在截面積 A = πR2 管內的層流速度 v 與位置 r 及
關係式。