所屬科目:物理化學
五、下列氧氣家族裡,,那個分子是逆磁性的(diamagnetic) 而且具有最大的鍵級(bond order)?(20 分)
六、當 1.91 克含有金屬元素 M 和氯的物質溶解在 50.0 克氯化錫(IV)中時, 氯化錫(IV)的正常沸點從 114.1℃升高到 115.7℃。如果氯化錫(IV)的= 9.43 且 M 的原子量為 114.82 ,則該溶質可能的分子式為何?(10 分)
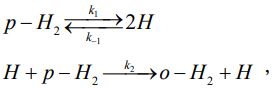
七、從仲氫(para-hydrogen, p - H2 )轉換成正氫(ortho-hydrogen, o - H2 ), 遵循下列反應機制:若 k 為實驗觀測得之速率常數,則 = ?(10 分)若是反應的活化能,那麼為何?(請以表示) (5 分)