所屬科目:物理化學
(一)最後的溫度(T) 、
(二)壓力(P)及
(三)內能(internal energy) 變化(△U) 、
(四)熵(entropy)變化(△S)與
(五)吉布斯(Gibbs)能變化(△G) 。(註:氣體常數 R = 8.314 J mol-1 K-1)(每小題 3 分,共 15 分)
(一) 假 設Ag+ 離 子與Cl-離子的活性係數皆為1,估算此溶解程序( AgCl ( s ) → Ag + (aq) +Cl - (aq) )之吉布斯(Gibbs)能變化( △G ° )。(7 分)
(二)假設 Ag+離子與 Cl-離子的活性係數遵循 Debye-Hückel 極限定律,估算 Ag+離子在 25℃、0.01 M NaNO3 水溶液中的濃度。 (8 分)( 註 :氣體常數 R=8.314 J mol-1 K-1 ; Debye-Hückel 極限定律log10γ ±= z+ z_ B,其中 γ±為平均活性係數,z+ 與 z_ 為陽離子與陰離子之電荷數, I 為離子強度,25℃水溶液之 B 值為 0.51 mol1/2 dm3/2 )
三、計算功率 100 W、波長 532 nm 的雷射光每秒發射的光子數(10 分)及每個光子的能量。 (10 分) (註:普朗克(Planck)常數 h = 6.626 ✖10-34 J s,光速 c = 3✖108m s-1 )
(一)計算此光子的波長;
(二)若希望振動能與熱能相等,則溫度應為多少?(註:波茲曼(Boltzmann)常數 k B = 1.381✖ 10-23 J K -1,普朗克(Planck)常數h= 6.626✖10-34 J s ,光速 c= 3✖108 m s -1 )(每小題 10 分,共 20 分)
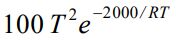
五、活化能(E)的定義可表示為 E = RT2,其中 k、T、R 分別為速率常 dT 數、溫度、氣體常數(8.314 J mol-1 K-1)。若有一反應遵循一階(first- order)速率方程式,且其速率常數(單位:s-1)與溫度 T(單位:K)之關係為 k= 。根據 Arrhenius 方程式,計算此反應在 500 K 之活化能(8 分)及前指數因子(pre-exponential factor)。(7 分)
(一)計算 B 之最大濃度(5 分)及達到該濃度所需時間。(5 分)
(二)若此一階連續反應變為可逆( A ) ,且逆向速率常數k-1=4 s-1 、 k-2=1s -1 ,計算 B 的平衡濃度。(5 分)