阿摩線上測驗
登入
首頁
>
技檢◆電器修護-乙級
> 114年 - 01000 電器修護 乙級 工作項目 06:裝修及調整(電動類) 51-100(2025/10/08 更新)#131906
114年 - 01000 電器修護 乙級 工作項目 06:裝修及調整(電動類) 51-100(2025/10/08 更新)#131906
科目:
技檢◆電器修護-乙級 |
年份:
114年 |
選擇題數:
50 |
申論題數:
0
試卷資訊
所屬科目:
技檢◆電器修護-乙級
選擇題 (50)
51. 電風扇轉速極慢可能的原因為 (A)啟動繞組短路 (B)啟動繞組斷路 (C)電容器斷路 (D)電容器短路 。
52. 果汁機是採用下列那一種方式來降低馬達轉速 (A)增加磁極數 (B)增加磁場繞組匝數 (C)滅少磁極數 (D)減少磁場繞組匝數 。
53. 吸塵器馬達之磁場繞組與電樞繞組是 (A)串聯 (B)並聯 (C)串並聯 (D)電樞繞組獨立控制 。
54. 家庭用 750C.C 以下果汁機消耗電力約 (A)20~40W (B)50~80W (C)100~200W (D)300~400W
55. 洗衣機的接地線可接在 (A)鐵製水管 (B)塑膠水管 (C)瓦斯管 (D)避雷針導線 。
56. 果汁機之功率因數 (A)大於 1 (B)等於 1 (C)小於 1 (D)等於 0 。
57. 當溫度升高時,馬達繞組之內阻將 (A)變大 (B)變小 (C)不變 (D)忽大忽小 。
58. 四段變速之風扇其變速端子中與運轉繞組端子電阻最小的為 (A)微風 (B)弱風 (C)中風 (D)強風 。
59. 果汁機之轉速與 (A)極數成正比 (B)極數成反比 (C)電流成正比 (D)電流成反比 。
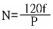
60. 頻率為 60Hz 的交流發電機有 24 極,其 RPM 為 (A)30 (B)60 (C)300 (D)1400 。
61. 由電容器啟動之馬達,其轉子回轉速若以 RPM 計,其公式為: (A)
(B)
(C)
(D)
62. (本題刪題)根據 CAS 規定:一般電器之電源電壓變動率在額定電壓的________內仍能正常動作才屬合格。(A)±20% (B)±10% (C)±5% (D)±1%
63. 在作電動機啟動測試時,務必將所接瓦特表之電流線圈兩端________以防止瓦特表損燬。(A)開啟 (B)接地 (C)短路 (D)與電源並聯
64. 電鬍刀轉動時有異音,其最可能原因為 (A)電源極性錯誤 (B)電壓過低 (C)軸承磨損失油 (D)電刷太短 。
65. (本題刪題)果汁機之轉速與 (A)極數成正比 (B)極數成反比 (C)電流成正比(D)電流成反比 。
66. 果汁機接有電容器之主要目的是為了 (A)幫助啟動 (B)改變轉速 (C)改變轉向 (D)消除雜訊 。
67. 多段變速之果汁機之調速原理為 (A)控制電樞電阻 (B)改變電源電壓 (C)加裝半波整流以控制電樞電壓 (D)控制電源電流 。
68. 家庭用果汁機皆採用 (A)電容啟動式馬達 (B)串激式馬達 (C)推斥式馬達(D)蔽極式馬達 。
69. 果汁機瞬轉按鈕兩端之接線方式 (A)與碳刷並聯 (B)與電源並聯 (C)與馬達繞組串聯 (D)與馬達繞組並聯 。
70. 吸塵器可利用溫風循環方式殺菌,其溫風來自 (A)馬達的排氣熱 (B)電熱絲 (C)電熱管 (D)電熱片 。
71. 吸塵器電動機之碳刷磨損下列結果何者不可能? (A)轉速加快 (B)產生火花 (C)產生噪音 (D)馬達燒燬 。
72. 通風扇馬達之運轉線圈與啟動線圈 (A)匝數相同,線徑相同 (B)匝數不同,線徑相同 (C)匝數相同,線徑不同 (D)匝數不同,線徑不同 。
73. 方型扇導風轉動盤,運轉的方向應為 (A)順時針方向 (B)逆時針方向 (C)順逆無固定方向 (D)與扇葉的運轉同方向 。
74. (本題刪題)電風扇的電容器其主要功用為 (A)改善功率因數 (B)產生啟動轉矩 (C)補償電路損失 (D)防止雜音 。
75. 一般安全電子扇制動之方法為 (A)直流剎車 (B)機械剎車 (C)交流剎車 (D)反轉剎車 。
76. 吸排兩用之通風扇,其正反轉之切換係 (A)電源反接控制 (B)變換齒輪組合 (C)啟動線圈線頭對調 (D)切換電容器之接線位置 。
77. 一般線圈調速之桌扇,其調速線圈在定子之裝置位置為 (A)與行駛線圈同位置 (B)與啟動線圈同位置 (C)與啟動線圈差 90 度之電工角 (D)放在定子之外以調速 。
78. 一般家用電風扇是利用馬達_________帶動扇葉。(A)直接 (B)間接 (C)連接皮帶 (D)連接齒輪
79. 雙槽洗衣機之脫水槽不運轉,與下列何者無關? (A)剎車線調整不良 (B)安全開關不良 (C)脫水定時器不良 (D)防震橡皮不良 。
80. 洗衣機漏電時,其處理方式為 (A)加強接地 (B)更換插頭方向 (C)將洗衣機和地絕緣(墊上絕緣物) (D)追查原因並排除故障 。
81. 下列何者會造成洗衣機脫水馬達不轉且無嗡嗡之交流聲? (A)電容器壞(B)啟動繞組斷路 (C)運轉繞組斷路 (D)定時開關壞 。
82. 洗衣機同時發生不洗衣、不脫水之現象,其可能原因為 (A)洗衣馬達不良 (B)脫水馬達不良 (C)電源側故障 (D)安全開關不良 。
83. 單槽洗衣機在脫水行程中,打開脫水槽上蓋後由於__________產生作用能使脫水槽立即停止運轉。(A)定時開關 (B)微動開關 (C)剎車系統 (D)微動開關與剎車系統
84. 洗衣機的排水閥開關如果不良有可能造成洗衣槽 (A)無法蓄水 (B)無法排水 (C)無法蓄水或排水 (D)沒有影響 。
85. 洗衣機脫水率之定義為: (A)(乾燥時衣服的重量/脫水後衣服的重量)×100% (B)(脫水後衣服的重量/乾燥時衣服的重量)×100% (C)(洗衣後衣服的重量/乾燥時衣服的重量)×100% (D)(脫水後衣服的重量/洗衣後衣服的重量)×100%
86. 雙槽洗衣機,下列那一項敘述不正確? (A)有二個馬達 (B)迴轉盤是利用皮帶傳動 (C)脫水內槽是由馬達直接傳動 (D)洗衣及脫水共用一個定時器控制
87. 單槽洗衣機是由 (A)洗衣定時 (B)脫水定時 (C)上蓋開關 (D)水流變換開關控制響笛。
88. 脫水馬達啟動繞組斷路時,馬達 (A)正常運轉 (B)會運轉但變慢 (C)不運轉也無嗡嗡之聲 (D)不運轉但有嗡嗡之聲 。
89. 洗衣機給水不停之原因是 (A)排水閥不良 (B)洗衣定時開關不良 (C)水位開關不良 (D)給水管阻塞 。
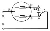
90. 如下圖為_______之電路圖。(A)果汁機 (B)吸塵器 (C)通風扇 (D)桌扇
91. 如下圖為果汁機之電路圖,其變速方法採用
(A)無段變速法 (B)多段變速法 (C)改變磁場匝數變速法 (D)調刷變速法
92. 如下圖為________之電路圖。
(A)電扇 (B)吹風機 (C)吸塵器 (D)電鬍刀
93. 直流變頻洗衣機的洗衣轉盤驅動方式為 (A)齒輪式 (B)直驅式 (C)電池式(D)蔽極式 。
94. 直流變頻超音波洗衣機釋出震動頻率高達每秒________以上的震波,可以充分溶解洗劑,深入衣物纖維清除頑垢。(A)1 萬次 (B)2 萬次 (C)3萬次 (D)4 萬次
95. 如下圖為洗衣馬達之
(A)水位控制 (B)轉速控制 (C)正、反轉控制 (D)時間控制
96. 蔽極式馬達通常用於那種家電產品? (A)果汁機 (B)電鬍刀 (C)手提電鑽(D)吹風機
97. 一般家庭用抽水機多為 (A)離心式泵 (B)旋轉式 (C)噴流式 (D)往復式
98. 有一 4 極 60Hz 感應電動機,滿載轉速為 1728 RPM,求該電動機滿載轉差率為 (A)2% (B)4% (C)6% (D)8%
複選題
99. 下列有關電扇敘述,何者正確? (A)立扇及桌扇馬達為電容啟動兼運轉式 (B)吊扇多採用蔽極式或永久電容式 (C)安全電扇原理為人觸及護網時,產生直流制動作用 (D)抗流線圈較少時,電扇轉速較慢 。
複選題
100. 電冰箱之往復式壓縮機馬達其三出線端為 R、S、C,則 R-S、R-C、S-C 間之電阻關係,下列何者正確? (A)R-S>R-C (B)S-C>R-S(C)R-C>S-C (D)S-C>R-C
申論題 (0)
相關試卷
114年 - 01000 電器修護 乙級 工作項目 08:特性測定 1-17(2025/10/08 更新)#131911
114年 · #131911
114年 - 01000 電器修護 乙級 工作項目 07:檢查及故障排除(冷凍類) 101-139(2025/10/08 更新)#131910
114年 · #131910
114年 - 01000 電器修護 乙級 工作項目 07:檢查及故障排除(冷凍類) 51-100(2025/10/08 更新)#131909
114年 · #131909
114年 - 01000 電器修護 乙級 工作項目 07:檢查及故障排除(冷凍類) 1-50(2025/10/08 更新)#131908
114年 · #131908
114年 - 01000 電器修護 乙級 工作項目 06:裝修及調整(電動類) 101-130(2025/10/08 更新)#131907
114年 · #131907
114年 - 01000 電器修護 乙級 工作項目 06:裝修及調整(電動類) 1-50(2025/10/08 更新)#131905
114年 · #131905
114年 - 01000 電器修護 乙級 工作項目 05:裝修及調整(電熱類) 51-112(2025/10/08 更新)#131904
114年 · #131904
114年 - 01000 電器修護 乙級 工作項目 05:裝修及調整(電熱類) 1-50(2025/10/08 更新)#131903
114年 · #131903
114年 - 01000 電器修護 乙級 工作項目 04:裝修及調整(照明類) 51-89(2025/10/08 更新)#131902
114年 · #131902
114年 - 01000 電器修護 乙級 工作項目 04:裝修及調整(照明類) 1-50(2025/10/08 更新)#131901
114年 · #131901