阿摩線上測驗
登入
首頁
>
技檢◆視聽電子-丙級
> 114年 - 02900 視聽電子 丙級 工作項目 05:音響檢修 101-150(2025/10/16 更新)#132311
114年 - 02900 視聽電子 丙級 工作項目 05:音響檢修 101-150(2025/10/16 更新)#132311
科目:
技檢◆視聽電子-丙級 |
年份:
114年 |
選擇題數:
50 |
申論題數:
0
試卷資訊
所屬科目:
技檢◆視聽電子-丙級
選擇題 (50)
101. 有關電晶體常數β等於 (A)
(B)
(C)
(D)
。
102. 當串聯諧振電路的外加電壓頻率高於諧振頻率,此電路呈何種性質? (A)電容性 (B)電感性 (C)電阻性 (D)與頻率無關 。
103. 如下圖所示,I
3
=
(A)2A (B)200mA (C)20mA (D)150mA 。
104. 如下圖所示,若 Vz=6V 則 Vo=
(A)13~14V (B)5.3V~5.5V (C)6.5~6.7V (D)13~20V 。
105. 如下圖所示,以 50KΩ/V 內阻特性之三用電表 DC10V 檔測量則電表之指示值為
(A)5 (B)3.3 (C)10 (D)2 V。
106. 如下圖所示,電容串聯後最大容許輸入電壓為
(A)600V (B)200V (C)340V (D)260V 。
107. 如下圖當 RC>>T 時,輸出端波形為
(A)
(B)
(C)
(D)
。
108. RC 移相振盪器所產生之波形為 (A)正弦波 (B)三角波 (C)脈衝波 (D)鋸齒波 。
109. 一電晶體之β=10 則α=? (A)0.9 (B)0.909 (C)0.99 (D)1.1 。
110. 可變電容二極體一般應用在彩色電視機哪一電路中 (A)AGC(自動增益控制)(B)AFC(自動頻率控制) (C)ACK(消色電路) (D)ARC(穩壓電路) 。
111. 下圖變壓器 N1=100T,N2=10T 則輸出端 Vp-p=
(A)
(B)11 (C)
(D)
。
112. 測量電晶體之順向偏壓 V
BE
若超過 0.8V,則電晶體 (A)工作於飽和區 (B)工作於截止區 (C)工作於放大區 (D)已破壞 。
113. 矽晶體之電流增益,受溫度影響較鍺晶體 (A)大 (B)小 (C)一樣 (D)不一定 。
114. 電壓與電流若為異相時,其意義是 (A)電壓超前電流 (B)電壓超前或落後電流 (C)電流超前電壓 (D)兩者相差 90° 。
115. 輸出阻抗最低的電路組態是 (A)共射極 (B)共集極 (C)共源極 (D)共基極 。
116. 放大器內採用 RC 交連其主要之缺點下述何者為誤 (A)電阻性負載損失功率大 (B)前後級間輸出入阻抗不易匹配 (C)效率高 (D)低頻會受到限制 。
117.
此電路工作於工作區,輸入信號為
則輸出OUT信號為何種波形? (A)
(B)
(C)
(D)
。
118. 根據下圖,當 e
1
=e
2
且 V
0
=0,R
L1
與 R
L2
之阻值應
(A)相等 (B)相差 10 倍 (C)相差 20 倍 (D)相差 30 倍 。
119. 下圖為一差動放大之電路,若 e
1
輸入電壓與 e
2
相等且 R
L1
≠R
L2
,則 C
1
與C
2
間電壓增益為
(A)無增益 (B)視 R
L1
,R
L2
而定 (C)
(D)
。
120. 當電晶體溫度增加時,則基射極電壓 (A)減少 (B)增加 (C)先增加後減少 (D)不變 。
121. 鍺二極體作為檢波器較矽二極體優,係因 (A)順向電壓低 (B)內阻小 (C)頻率反應佳 (D)雜波小 。
122. 佛來銘右手定則中,食指所指的方向表示 (A)電流方向 (B)電子流方向 (C)磁力線方向 (D)導體運動方向 。
123. 推挽式放大器可減少 (A)奇數諧波失真 (B)偶數諧波失真 (C)偶數及奇數諧波失真 (D)直流成份失真 。
124. 電晶體如當作線性放大器時要工作在 (A)飽和區 (B)截止區 (C)動作區 (D)飽和或截止區 。
125. 下圖中之電路偏壓與電流求其 I
B
為若干
(A)50mA (B)94μA (C)10mA (D)20μA 。
126. 下圖中之電路試求其 I
C
為多少?
(A)2mA (B)10mA (C)5.6mA (D)60mA 。
127. 串聯諧振時電感與電容上之電壓 (A)大小相等,方向相同 (B)大小相等,方向相反 (C)大小不等,方向相同 (D)大小不等,方向相反 。
128. 對於放大器的頻率響應,下列有那些因素比較不會構成限制 (A)輸入電容(B)輸入電阻 (C)輸出電容 (D)偏壓電阻 。
129. 三種組態的放大器中,何者雜音最大? (A)共射極放大器 (B)共基極放大器(C)共集極放大器 (D)不一定 。
130. 一個放大器的電流增益是 10,電壓增益是 100,則功率增益為 (A)20dB (B)30dB (C)40dB (D)60dB 。
131. 下列有關 Q 值與其 BW 之間的關係何者是正確的 (A)BW=Q×fr (B)fr=Q/BW(C)fr=Q×BW (D)BW=Q/fr 。
132. 射極接一旁路電容主要功用在 (A)交連前一級信號 (B)負回授 (C)提高增益 (D)雜訊消除 。
133. 在一擴大器電路中,欲彌補唱片或錄音帶在錄製過程的頻率特性,線路中應具有 (A)AVC (B)WOW (C)DOLBY (D)RIAA 或 NAB 。
134. 一般擴大器中之等化電路,其與下列何者的輸出有關? (A)AUX (B)調諧器(C)MIC (D)唱頭 。
135. 放大器之 (A)RMS 功率輸出比音樂功率輸出大 (B)RMS 功率輸出比音樂功率輸出小 (C)RMS 與音樂功率輸出應為相同 (D)RMS 功率輸出無法測試 。
136. 假設諧振頻率為 f, f
1
為低於諧振點-3dB 處之頻率,f
2
為高於諧振點-3dB處之頻率,試問其頻寬為 (A)f
2
-f (B)f-f
1
(C)f
2
-f
1
(D)f
2
+f
1
。
137. 發射機所用的射頻功率放大器是屬於何類放大電路 (A)A類 (B)B類 (C)AB類 (D)C類 。
138. 一訊號電源輸出端開路時電壓為 10V,接上 100Ω電阻做為負載後電壓降為 8V,則該訊號電源內阻為 (A)100Ω (B)50Ω (C)25Ω (D)12.5Ω 。
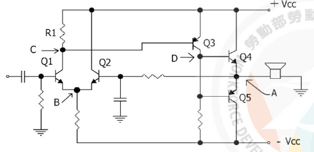
139. 如下圖當 A 點電壓瞬間往負方向下降時,則 C 點電壓
(A)上升 (B)下降 (C)不變 (D)先下降後上升 。
140. 電晶體三種配置中,以_________放大器的功率增益最大。 (A)共基極 (B)共集極 (C)共射極 (D)共源極
141. α值是共基極放大器的 (A)
(B)
(C)
(D)
。
142. 如下圖電路中之 R
A
、C
A
最主要的功用是
(A)電晶體之分壓用 (B)防止寄生振盪用 (C)靴帶式電路,提高輸入阻抗 (D)減低電晶體之基極電壓 。
143. γ值是共集極放大器的 (A)
(B)
(C)
(D)
。
144. 工作於電晶體特性曲線之直線性良好區域的是哪一類的放大器 (A)A 類 (B)B類 (C)C 類 (D)D 類 。
145. 若信號通過放大器時產生與原輸入信號不同的頻率響應則稱為 (A)頻率失真(B)振幅失真 (C)諧波失真 (D)交互調變失真 。
146. 欲得到無極性電解電容器,可將兩只電解電容 (A)串聯 (B)並聯 (C)串並聯 (D)反向串聯 。
147. 為了防止交越失真收音機之功率放大級常設於何類工作 (A)A 類 (B)B 類 (C)C類 (D)AB 類 。
148. RC 分電路中之電容器被充電時 (A)電路內電容與電阻愈小,端電壓上升愈慢 (B)電路內電阻與電容愈大,端電壓上升愈慢 (C)電路內電阻愈小,電容愈大,端電壓上升愈快 (D)電路內電容愈小,電阻愈大,端電壓上升愈快 。
149. 若放大器輸入端送入兩個不同的頻率,而輸出端產生與原輸入所沒有的頻率成分者,稱為 (A)頻率失真 (B)振幅失真 (C)諧波失真 (D)交互調變失真 。
150. 一庫侖電荷量等於 (A)1.602×10
- 18
個電子 (B)6.25×10
19
個電子 (C)6.25×10
18
個電子 (D)1.602×10
-19
個電子 。
申論題 (0)
相關試卷
114年 - 02900 視聽電子 丙級 工作項目 06:收錄音機檢修 51-93(2025/10/16 更新)#132319
114年 · #132319
114年 - 02900 視聽電子 丙級 工作項目 06:收錄音機檢修 1-50(2025/10/16 更新)#132318
114年 · #132318
114年 - 02900 視聽電子 丙級 工作項目 05:音響檢修 401-443(2025/10/16 更新)#132317
114年 · #132317
114年 - 02900 視聽電子 丙級 工作項目 05:音響檢修 351-400(2025/10/16 更新)#132316
114年 · #132316
114年 - 02900 視聽電子 丙級 工作項目 05:音響檢修 301-350(2025/10/16 更新)#132315
114年 · #132315
114年 - 02900 視聽電子 丙級 工作項目 05:音響檢修 251-300(2025/10/16 更新)#132314
114年 · #132314
114年 - 02900 視聽電子 丙級 工作項目 05:音響檢修 201-250(2025/10/16 更新)#132313
114年 · #132313
114年 - 02900 視聽電子 丙級 工作項目 05:音響檢修 151-200(2025/10/16 更新)#132312
114年 · #132312
114年 - 02900 視聽電子 丙級 工作項目 05:音響檢修 51-100(2025/10/16 更新)#132310
114年 · #132310
114年 - 02900 視聽電子 丙級 工作項目 05:音響檢修 1-50(2025/10/16 更新)#132309
114年 · #132309