阿摩線上測驗
登入
首頁
>
技檢◆視聽電子-丙級
> 114年 - 02900 視聽電子 丙級 工作項目 05:音響檢修 401-443(2025/10/16 更新)#132317
114年 - 02900 視聽電子 丙級 工作項目 05:音響檢修 401-443(2025/10/16 更新)#132317
科目:
技檢◆視聽電子-丙級 |
年份:
114年 |
選擇題數:
43 |
申論題數:
0
試卷資訊
所屬科目:
技檢◆視聽電子-丙級
選擇題 (43)
401. 設電壓和電流的函數分別為 v(t)=100sin(377t+30°)伏特,i(t)=10sin(377t-60°)安培,則下列敘述何者錯誤? (A)頻率為 60Hz (B)電壓有效值為 100伏特 (C)電壓滯後電流 90° (D)電流最大值為 10 安培 。
402. 設 v(t)=-10cos(ωt-30°),i(t)=-5sin(ωt+60°),則 (A)電壓超前電流 90° (B)電壓超前電流 30° (C)電壓落後電流 60° (D)電壓與電流同相 。
403. 如下圖所示三角波波形的有效值 Vrms =?
(A)0.71V (B)0.58V (C)0.5V (D)0.35V 。
404. 如下圖所示所示波形的平均值 Vdc =?
(A)1.4V (B)1V (C)0.7V (D)0V 。
405. 一交流電流 i(t) = 10sin785t (mA)流過 1K 歐姆電阻,則電阻的平均功率為(A)100W (B)100mW (C)50μW (D)50mW 。
406. 如下圖所示電路中,二極體使用理想模型,求輸出電壓值 Vo 為
(A)4V (B)2V (C)1V (D)0V 。
407. 若二極體順向工作電壓 0.7V,導通電流為 6.5mA,則二極體的靜態電阻R
D
為 (A)108Ω (B)70Ω (C)30Ω (D)4Ω 。
408. 下列敘述何者錯誤? (A)在本質半導體中加入微量的五價元素則形成 N 型半導體 (B)N 型半導體的少數載子為電洞 (C)本質半導體中所加入的五價元素稱為施體 (D)矽半導體隨溫度上升,其電阻值增加 。
409. 比較器的輸出波形為 (A)弦波 (B)三角波 (C)方波 (D)正負脈衝 。
410. 無外加電壓的情況下,在二極體接面電位極性為 (A)P 型側為負,N 型側為正 (B)P 型側為正,N 型側為負 (C)電中性 (D)不一定 。
411. 共集極放大電路的電壓增益 (A)大於 1 (B)等於 1 (C)甚大於 1 (D)接近 1,但小於 1 。
412. 對直接耦合放大器而言,下列敘述何者為真? (A)低頻響應較佳,工作點較穩定 (B)低頻響應較差,工作點較穩定 (C)低頻響應佳,工作點較不穩定 (D)低頻響應較差,工作點較不穩定 。
413. 電阻電容耦合串級放大器的耦合電容功用為何? (A)阻隔前後級之直流電壓(B)降低輸入阻抗 (C)降低熱雜訊 (D)作前後兩級之阻抗匹配 。
414. 場效電晶體(FET)與電晶體比較,下列何者是場效電晶體的優點? (A)電壓增益較大 (B)輸入阻抗較大 (C)頻帶寬較大 (D)電流增益較大 。
415. 場效電晶體(FET)工作時靠下列何者來控制汲極電流大小? (A)閘極電流(B)閘極電阻 (C)閘源極電壓 (D)源極電流 。
416. 場效電晶體當線性放大器時,工作在 (A)歐姆區 (B)飽和區 (C)截止區 (D)三極管區 。
417. 源極隨耦器(source-follower)是屬於哪一種組態? (A)共汲極組態 (B)共閘極組態 (C)共源極組態 (D)共集極組態 。
418. JFET 的飽和區電流公式為 (A)
(B)
(C)
(D)
。
419. 下列有關負回授的敘述,何者有誤? (A)穩定度提高 (B)失真減小 (C)頻帶寬度增加 (D)電壓增益加大 。
420. 電腦使用單位中 1G(Giga)之數值為何? (A)1024G (B)1024M (C)1024K (D)1024 。
421. 如下圖所示為一正緣觸發之 JK 正反器(Flip Flop)邏輯電路,當 J=K=1時,則下列時序(clock)與輸出(Q)何者正確?
(A)
(B)
(C)
(D)
。
422. 如下圖所示為一正緣觸發之 SR 正反器(Flip Flop)邏輯電路,當 S=1,R=0時,則下列時序(clock)、清除(clear)與輸出(Q)為何?
(A)
(B)
(C)
(D)
。
423. 將十進位數 2711011
(10)
轉換成格雷碼可得 (A)11011
(G)
(B)1011011011
(G)
(C)1011111011
(G)
(D)11100011011
(G)
。
424. 阿拉伯數字「0」在 ASCII 碼中其十六進位為? (A)20H (B)30H (C)41H (D)61H 。
425. 二進位的加、減、乘及除,皆可化簡成下列何種運算? (A)乘法 (B)除法 (C)加法 (D)減法 。
426. 十進位數 54 之 9'S 補數為 (A)55 (B)54 (C)45 (D)46 。
427. 下列何者是錯誤的表示法? (A)AD.FF
(16)
(B)89.12
(10)
(C)35.53
(5)
(D)76.67
(8)
。
428. 電腦資料最小的儲存單位僅能儲存二進位值 0 或 1,此儲存單位稱為: (A)位元(Bit) (B)位元組(Byte) (C)字元(Word) (D)字串(String) 。
429. 假設某國營單位預計徵才 500 名員工,試問至少需要多少位元才能對 500名員工的身份加以編號? (A)10 (B)9 (C)8 (D)7 位元。
430. 正邏輯(高電位代表 1,低電位代表 0) 的 OR 閘是負邏輯(高電位代表0,低電位代表 1)的? (A)NOR (B)NAND (C)XOR (D)AND 閘。
431. 十六進位數 A8.0F
(16)
轉換成八進位數為? (A)250.036
(8)
(B)168.036
(8)
(C)250.017
(8)
(D)168.017
(8)
。
432. 一個 24×24 點矩陣之中文字型是 16×16 中文字型的多少倍容量? (A)2 (B)2.25 (C)2.5 (D)3 。
433. 利用布林定理化簡 X+
+Y=? (A)1 (B)X (C)
(D)Y 。
434. 函數 f(A,B,C,D)=Σ(0,1,2,3,4,5,6,7,8,9,10,11)+d(12,13,14,15)的積之和(SOP)最簡表示式為 (A)
(B)
(C)1 (D)
。
435. 根據第摩根(De Morgan)定理,
=? (A)A+B (B)
(C)AB (D)
。
436. 函數 f(A,B,C)=Π(0,1,4,5)的和之積(POS)最簡表示式為 (A)AB (B)
(C)B (D)
。
437. 下圖所示,其輸出函數 F 為何?
(A)
(B)
(C)(A+B).C+D (D)
。
438. 如下圖所示,其輸出 F 波形為何?
(A)
(B)
(C)
(D)
。
439. 如下圖所示,其輸出函數 F 為何?
(A)
(B)
(C)
(D)
。
440. 如下圖所示,當 S=1 時,則其輸出函數 F 為何?
(A)1 (B)0 (C)A (D)B 。
441. 以 TTL 推動 CMOS 邏輯閘時,最簡單的界面連接是加一個提升(pull-up)(A)電容器 (B)電阻器 (C)電感器 (D)變壓器 。
442. 如下圖所示,當 C=0,
=1 時,則 A,B 為?
(A)A=B (B)A=0 (C)A=1 (D)A,B呈高阻抗 。
【已刪除】443. (本題刪題)下圖為一 JK 正反器之符號,其真值表為何?
(A)
(B)
(C)
(D)
。
申論題 (0)
相關試卷
114年 - 02900 視聽電子 丙級 工作項目 06:收錄音機檢修 51-93(2025/10/16 更新)#132319
114年 · #132319
114年 - 02900 視聽電子 丙級 工作項目 06:收錄音機檢修 1-50(2025/10/16 更新)#132318
114年 · #132318
114年 - 02900 視聽電子 丙級 工作項目 05:音響檢修 351-400(2025/10/16 更新)#132316
114年 · #132316
114年 - 02900 視聽電子 丙級 工作項目 05:音響檢修 301-350(2025/10/16 更新)#132315
114年 · #132315
114年 - 02900 視聽電子 丙級 工作項目 05:音響檢修 251-300(2025/10/16 更新)#132314
114年 · #132314
114年 - 02900 視聽電子 丙級 工作項目 05:音響檢修 201-250(2025/10/16 更新)#132313
114年 · #132313
114年 - 02900 視聽電子 丙級 工作項目 05:音響檢修 151-200(2025/10/16 更新)#132312
114年 · #132312
114年 - 02900 視聽電子 丙級 工作項目 05:音響檢修 101-150(2025/10/16 更新)#132311
114年 · #132311
114年 - 02900 視聽電子 丙級 工作項目 05:音響檢修 51-100(2025/10/16 更新)#132310
114年 · #132310
114年 - 02900 視聽電子 丙級 工作項目 05:音響檢修 1-50(2025/10/16 更新)#132309
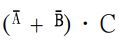
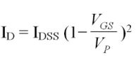
114年 · #132309