所屬科目:高中指考◆數學甲
1. 坐 標 平 面 上 , 函 數 y = sin x的 圖 形 對 稱 於 x =, 如 圖 所 示 。 試選出在 0<θ≤π 的 範圍中滿 足 sinθ=sin(θ+ )的 θ值 。 (A)(B) (C) (D) (E)π
2. 空 間 中 一 正 立 方 體 ABCD- EFGH,其 中 頂 點 A、B、C、D 在 同 一 個 平面 上,且 為其中一個邊, 如圖所示。下列選項中,試選出與平面 B G H 以及平面 CF E 皆垂直的平面 。 (A) 平 面 ADH (B) 平 面 BCD (C) 平 面 CDG (D) 平 面 DFG (E) 平 面 DFH
3. 《 幾 何 原 本 》 上 說 : 「 給定相異兩點可決定一條直線 」 。 一 般 來 說 , 相異 三點可決定條直線; 但 若 這三點共線,此時僅決定一條直線。 坐 標 平 面 上 , 已 知 圓 Γ1 :x2 +y2 = 4 與兩坐標軸 交 於 4 點、圓Γ2 : x2+y2=2與直線 x−y = 0 交 於 2 點 、 圓Γ2 與直線 x+y = 0 交 於 2 點 。 試問這 8 點 共可決定幾條不同的直線 ? (A) 12 (B) 16 (C) 20 (D) 24 (E) 28 E H G C A B B D B F
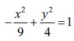
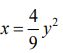
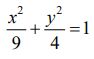
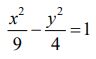
4. 試 從 下 列 坐 標 平 面 上 的 二 次 曲 線 中 , 選出與所有的鉛直線都相交的選項 。(A)(B)(C)(D)(E)
5. 有一實數數列〈an〉 , 其中, n 為 正 整 數 。 試選出正確的選項 。 (A) (B) a2=a3 (C) a4=a24 (D)〈an〉為收斂數列 , 且(E)
6. 設指數函數f (x) =1.2 x。 試選出正確的選項 。 (A) f (0)>0 (B) f (10)>10(C) 坐標平面上 , y=1.2x 的圖形與直線 y=x 相 交 (D) 坐標平面上,y=1.2x與 y= log(1.2x)的圖形對稱於直 線 y=x (E) 對任意正實數 b,log1.2b≠1.2b
7. 已知 實 係 數 多 項 式 f x( ) 的次數大於 5, 且其最高次項係數為正。又 f(x) 在 x = 1、2、4 處有極小值 , 且 在 x = 3、5 處 有極大值。 根據上述 , 試選出正確的選項 。 (A) f(1)<f(3)(B) 存在實數 a,b滿 足 1<a<b<2, 使得 f'(a)>0 且 f'(b)<0(C) f"(3)>0(D) 存在實數 c>5 ,使得 f'(c)>0(E) f(x) 的次數大於7
8. 設複數 z 的 虛 部 不 為 0 且 |z| = 2 。已 知 在 複 數 平 面 上,1、z、 z3 共 線。試選出正確 的選項 。 (A) (B)虛 部 為 0 (C) z 的 實 部 為(D) z 滿足 z2-z+4=0 (E) 在複數 平面上 , −2 、 z 、 z2 共線
12. 若以方式一抽獎,則共需付 300 元才能得到一個公仔的機率為何?( 單選題,2 分 )(A)(B)(C)(D)(E)
9. 令 A 為以原點為中心逆時針旋轉角的旋轉矩陣 , 且 令 B 為 以 x 軸為鏡射軸 ( 對稱軸 ) 的鏡 射矩陣 。 令。 已知a1+ a2+a3+a4=2(c1+ c2+c3+c4) , 則 tanθ =。 ( 化為最簡分數 )
10. 坐標空間中一平面與平面 x = 0 、平面 z = 0 分別交於直線L1、L2。 已知 L1、L2互相平行 , 且 L1 通過點 (0,2,−11) 、L2 通過點 (8,21,0) ,則 L1、 L2 的距離為。 ( 化為最簡根式 )
11. 坐 標 平 面 上 有 一 平 行 四 邊 形Γ, 其中兩邊所在的直線與 5x-y=0平 行 、 另兩邊所在的 直線 與 3x-2y=0垂 直。令Γ的兩對角線交點為 Q 。已 知Γ有 一 頂點 P, 滿足= − (10, 1) , 則Γ的面積為 。
13. 若以方式二抽獎直到抽中一個公仔為止 , 試依期望值定義 , 使用Σ符號表示所需抽獎次數的期望值 , 並求其值。 ( 非選擇題 , 4 分 )
14. 假設花費金額不設限直到得到一個公仔為止 , 試分別求出這兩種抽獎方式得到一個 公仔所需付金額的期望值 , 並說明這兩個期望值的大小關係 。 ( 非選擇題 , 6 分 )
15. 證明當−1≤x≤1時 ,f(x)≥0皆成立 。 ( 非選擇題 , 4 分 )
16. 證 明 對 於 所 有, Γ的面積皆為 2。 ( 非選擇題,2 分 )
17. 令 V 為 Γ 繞 x 軸旋轉所得旋轉體的體積。試問對所有, V是否都相等 ? 若相 等,則求其值;若不相等,則當 a 為多少時, V 有最 大值,並求此最大值。 ( 非選擇題 , 6 分 )