所屬科目:教甄◆物理科專業
1.如圖所示,不計空氣阻力,一球由斜角θ的長斜面以初速度v0拋出,方向與斜面垂直,最終落在斜面上,已知重力加速度g,則飛行全程的平均速度量值?(A)v0tan θ(B)v0sin θ(C)v0cos θ(D)v0cot θ。
2.一人質量50kg,立於一質量100kg,速率4m⁄?的臺車上,若臺車與地面無摩擦,則當人相對車以3m⁄?的水平速度沿車行反方向跳離車後,則車速率為何?(A)7.5m⁄s(B)3m⁄s(C)5m⁄s(D)以上皆非。
3.有7條完全相同之均質金屬絲,長度皆為L、電阻值皆為R,相連通成一橫躺之「日」字形,僅中央金屬絲可以速度v向右移動,其餘外圍金屬絲皆固定不動,置於垂直紙面穿出且量值為B的均勻磁場,如圖所示,則此瞬間通過中央金屬絲上之電流量值為?(A)(B)(C)(D)。
4.平面上有兩反向點波源,相距0.100mm,各發出波長為4.40μm的波,在此平面上共可產生幾條節線?(A)44(B)45(C)46(D)47。
5.一電荷q靜止放置在一個正立方體的角落(如圖所示),求通過灰色區域的電通量(electricflux)?(A)0(B)q⁄(8ε0)(C)q⁄(12ε0)(D)q⁄(24ε0)。
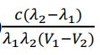
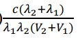
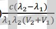
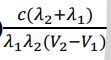
6.在某一金屬之光電效應實驗中,當入射光波長為λ1時,截止電壓為V1;入射波長為λ2時,截止電壓為V2,則基本電量e與普朗克常數h之比值為?(A)(B)(C)(D)。
7.一水銀槽中裝有水銀,今於75公分水銀柱之大氣壓力下,將一高30公分、底面積40平方公分之圓柱形空玻璃杯(玻璃之厚度不計),開口朝下,由空氣中緩緩地鉛直向下壓入水銀中,並以手控制,使玻璃杯有高度在液面上、高度在液面下,如附圖所示(不考慮毛細現象)。則杯內杯外之液面高度差應為幾公分?(A)8(B)10(C)15(D)20。
8.以速度v飛行的子彈先後穿透兩塊由同種材料製成的平行放置的固定金屬板,若子彈穿透兩塊金屬板後的速度分別變為0.8v和0.6v,則兩塊金屬板的厚度之比為何?(A)1:1(B)9:7(C)8:6(D)16:9。
9.如圖所示,有一平行帶電金屬板,有一帶電粒子貼A板沿水平方向射入均勻電場,當兩板之間的電壓為V1時,帶電粒子沿軌跡①從兩板正中間飛出;當電壓為V2時,帶電粒子沿軌跡②落到B板中間;設兩次射入電場的水平速度相同,則電壓V1:V2為?(A)1:8(B)1:4(C)1:2(D)1:1。
10.如圖所示,光滑斜面AE被分成四個相等的部分,一物體由A點從靜止釋放,下列結論中不正確的是?(A)物體到達各點的速率=1:√2:√3:2(B)物體到達各點所經歷的時間(C)物體從A到E的平均速度(D)物體通過每一部分時,其速度增量。
11.如圖所示,有一定量的理想氣體從狀態R出發,分別經過如圖所示的三種不同過程變化到狀態A、B、C有關A、B、C三個狀態的物理量的比較,下列說法中正確的是?(A)氣體分子的平均速率(B)單位體積內氣體分子數(C)氣體分子在單位時間內對器壁單位面積的總衝量(D)單位體積內氣體分子數。
12.在40m高的位置,將一顆保齡球以初速2m⁄?向下丟出,同時在保齡球的正下方地面處則以18m⁄s速度向上拋出一顆高爾夫球,如圖所示,若不計空氣阻力,試問下列敘述哪些正確?(g=10m/s2)
(A)拋出後2秒時,兩球在空中相遇(B)兩球在空中相遇時,保齡球的加速度比高爾夫球大(C)兩球在空中相遇時,高爾夫球的高度為16m(D)兩球在空中相遇時,高爾夫球的速度為0m⁄s。
13.如圖所示,長度之二輕繩吊A、B二帶同性電之小球,因庫侖斥力,當兩球相距x(x=)時呈平衡,若,則:
(A)B球重力小於A球(B)二球受電力大小相等(C)A、B二繩之張力比為(D)A、B二球重量比為
1.鉛直上拋一球,空氣阻力不計,重力加速度為g,設拋出後經歷時間T及t之高度相同,則初速度__________。
2.有一均質的細鐵絲折成三邊等長且互相垂直之“ㄈ”字型ABCD,今將A端以一細線懸吊起達靜力平衡如圖所示,已知通過A端之鉛垂線AE,如圖中虛線,與AB邊夾角為θ,則tan θ=__________。
3.帶靜電、平坦且均質的圓形金箔,半徑遠大於厚度,忽略金箔邊緣造成的影響,吾人測得金箔表面電場強度。今將此金箔鑄造成一實心均質金球,假設鑄造後金的質量、密度及所帶靜電量不變,測得金球表面電場強度為金箔的一百倍,則金球半徑與金箔厚度的比值為__________。
(1)此粒子所受到的合力大小=__________N。
(2)若此力量的方向與x軸的方向夾角為θ,則cosθ=__________。
(1)子彈所受衝量=__________kg∙m⁄s。
(2)子彈的質量=__________克。
6.如圖所示,半圓形的線圈,其半徑為r、電阻為R,以角速度ω、繞圓心O,在均勻磁場B中旋轉,則線圈中的感應電流量值最大=__________。
7.如圖所示,在距一質量為M、半徑為R、密度均勻的球體R處有一質量為m的質點,此時球體對質點的萬有引力為F1,當從球體中挖去一半徑為的球體時,剩下部分對質點的萬有引力為?F2,求F1:F2=__________。
(1)動能變為多少?__________。
(2)原子內能增加多少?__________。
(1)電場強度E為多大?__________。
(2)A點至最高點的電位差為多少?__________。
(1)該電子的最小動能?
(2)該電子在能階間躍遷,可吸收或放出光子的最小頻率?(已知D>d)
(1)鋼珠抵P時,所受曲面之正向力為何?
(2)鋼珠由P射出之後,可上升之最大高度為何?
(1)試判斷開關S接通時和斷開時,電鍋分別處於哪種工作狀態,說明你的理由。
(2)如果要使R2在保溫狀態時的功率是加熱狀態時的一半,R1/R2應是多大?