所屬科目:捷運◆機件(械)原理
1. 若一個 M10x1.5 螺紋之導程角為α,螺旋角為β,請問下列何者正確? (A)α>β (B)α+β=90° (C)α+β=180° (D) 。
2. 虎鉗的螺桿使用方螺紋之目的為 (A)鉗口傳動精確 (B)好加工製造 (C)傳達較大動力 (D)省能源 。
3. 一公制螺紋為 L-2N-M16×2,下例何者錯誤? (A)左螺紋 (B)雙螺紋 (C)螺紋大徑 16mm (D)導程 2mm 。
4. 在裝配螺帽與螺栓間裝上一彈簧墊圈,主要目的為 (A)美觀 (B)防止螺帽鬆脫 (C)好拆裝 (D)機件定位 。
5. 傳達大動力且需要常拆裝時,以下列機件或方式來結合最為恰當? (A)鍵 (B)銷 (C)固定螺釘 (D)收縮緊固 。
6. 用於傳遞最大動力,且相配合之軸可作旋轉與軸向運動的鍵是 (A)滑鍵 (B)半月鍵 (C)栓槽鍵 (D) 鞍鍵 。
7. 一般關節接合機件大多採用下列何種銷 (A)定位銷 (B)開口銷 (C)快釋銷 (D)U 形鉤銷 。
8. 關於彈簧之名詞定義,下列何者有誤? (A)節徑是外徑與內徑之平均值 (B)實長是彈簧受到完全壓縮時的 長度 (C)彈簧常數=變形量/外力 (D)自由長度是指在完全無負載狀 況下之長度 。
9. 彈簧有鬆弛的現象,除了時間增加因素之外,還有 (A)溫度升高 (B)表面漆脫落 (C)發生扭轉 (D)負荷型態改變 。
10. 下圖的彈簧系統中,三個彈簧的彈簧常數同為 4N/mm,所有彈簧的位移與作用力均為線性關係,若重物 W 掛置後,位移量ΔX=3mm, 則重物 W 的重量為多少 N?
(A)6N (B)12N (C)15N (D)18N 。
11. 不易造成機件過熱且可長時間制動作用,應使用何種制動器較佳? (A)機械式制動器 (B)帶制動器 (C)電磁式制動器 (D)塊狀制動 器。
12. 常用在油田或礦場等工作場域,載運重物或鑽井時所用的制動器為 (A)塊狀制動器 (B)電磁式制動器 (C)內靴式制動器 (D)液體制動 器。
13. 常用的機械式制動器是利用何種力來達到制動的目的? (A)黏滯力 (B)阻尼力 (C)摩擦力 (D)重力 。
14. 使用一槓桿時如果要省力,則必須要 (A)抗力臂大於施力臂 (B)施力臂大於抗力臂 (C)施力臂等於抗力 臂 (D)與抗力臂或施力臂無關 。
15. 棘輪機構的止動爪的功用為 (A)增加傳動力 (B)防止棘輪反轉 (C)推動棘輪作單向迴轉 (D)減少無效回擺時間。
16. 如圖所示之齒輪機構,動力可由齒輪 1 傳至齒輪 4,則此機構是一 種
(A)可變換轉向機構 (B)可變換轉速機構 (C)可變換速率機構 (D)可間歇傳動機構 。
17. 下列何者機構,常用於鐘錶中控制指針來指出時間? (A)日內瓦機構 (B)擒縱器 (C)棘輪機構 (D)反向機構 。
18. 機械的機械利益可以是 (A)小於 1 (B)等於 1 (C)大於 1 (D)任意值 。
19. 下列那一項的比值是螺旋千斤頂的機械利益?(註:不計摩擦,導程 L,手柄長度 R,螺旋直徑 D,重物 W,輸入力 F) (A)(B)(C)(D) 。
20. 下列有關機械利益與機械效率的敘述,何者不正確? (A)機械利益若大於 1,代表省力費時(B)機械輸出之功與輸入之功 的比值為機械效率 (C)斜面上有一重物,則施力平行於斜面與施力 平行於底邊的機械利益相同 (D)當數個機械串接組合使用時,總機 械效率為各個機械效率的連乘積 。
21. 如圖所示斜面之夾角為 30 度,施力平行於斜面,請問機械利益為
(A)(B)2 (C)(D)√3 。
22. 在機械傳動軸上,使用軸承的功用是 (A)保持軸中心位置 (B)減少機器振動 (C)平衡兩端受力 (D)減低 軸向負載 。
23. 下列何種聯結器可聯結二軸平行但不在同一直線上? (A)套筒聯結器 (B)歐丹聯結器 (C)凸緣聯結器 (D)摩擦阻環聯結 器。
24. 下列何者不是直接接觸傳動之機件? (A)皮帶 (B)摩擦輪 (C)齒輪 (D)凸輪 。
25. V 形皮帶用的 V 形槽輪槽角,應小於皮帶的夾角,大多數約為 (A)14°~18°(B)24°~28°(C)34°~38°(D)44°~48° 。
26. 在兩帶輪間裝置惰輪(張力輪),是為了 (A)防止皮帶脫落 (B)引導帶圈移動 (C)增加傳動速率 (D)增加皮 帶之有效拉力。
27. 設計機械的傳動系統時,如果傳動距離較遠、速比要正確,且工作 有高溫情況,應選擇下列何者? (A)齒輪系 (B)皮帶輪系 (C)鏈條輪系 (D)摩擦輪系 。
28. 鏈輪傳動速率不穩定、產生振動及噪音的主要原因是 (A)弧線作用 (B)弦線作用 (C)速率太慢 (D)二軸距離較遠 。
29. 工業上常用鏈條區分為三大類,分別是起重鏈、輸送鏈及 (A)動力傳達鏈 (B)平環鏈 (C)無聲鏈 (D)塊狀鏈。
30. 一對摩擦輪,如果從動輪是鑄鐵製成,則主動輪材質應為 (A)鑄鐵 (B)低碳鋼 (C)比從動輪硬之金屬材料 (D)比從動輪軟之 金屬材料。
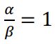
31. 一對外切圓錐形摩擦輪,半錐角分別為α、β,則兩輪速比為 (A) (B) (C) (D) 。
32. 凹槽形摩擦輪的槽角以多少為佳 (A)20°~30° (B)30°~40° (C)40°~50° (D)50°~60° 。
33. 下列何種齒輪所能傳動的動力較大、噪音較小且在兩平行軸間傳 動? (A)正齒輪 (B)螺旋齒輪 (C)斜齒輪 (D)冠狀齒輪。
34. 齒輪模數的定義是 (A)齒數/節徑 (B)節徑 x 齒數 (C)節徑/齒數 (D)節徑+齒數 。
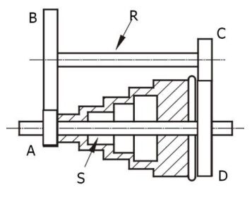
35. 一對外接齒輪的模數為 2,齒數分別為 30 齒及 60 齒,則中心距離 為 (A)60mm (B)90mm (C)100mm (D)120mm 。
36. 在單系輪系中使用惰輪的主要目的是 (A)改變輪系值 (B)改變旋轉方向 (C)改變速率 (D)改變轉速 。
37. 工程師在選用輪系時,考量速比準確且中心距較短時,應選用下列 何種輪系? (A)皮帶輪系 (B)摩擦輪系 (C)鏈輪輪系 (D)齒輪輪系 。
38. 如圖所示為車床後列齒輪輪系,其中=30 齒、=120 齒、=30 齒、=120 齒,當 A 輪轉速為 1600rpm 且經由後列齒輪傳遞到 D 輪時,則 D 輪轉速為
(A)100rpm (B)200rpm (C)250rpm (D)300rpm 。
39. 汽車差速器的輪系是 (A)單式輪系 (B)複式輪系 (C)單式斜齒輪周轉輪系 (D)複式斜齒 輪周轉輪系。
40. 使從動件產生可預期之連續或不連續的運動,而且構造簡單、動作 準確之機件,稱為 (A)摩擦輪 (B)凸輪 (C)皮帶輪 (D)齒輪 。
41. 凸輪壓力角愈小,凸輪對從動件的側壓力 (A)愈小 (B)愈大(C)不變 (D)與壓力角大小無關 。
42. 如圖所示的速度圖,從動件的速度隨時間變化的情形,則此從動件是作
(A)等速運動 (B)等加速運動 (C)修正等速運動 (D)簡諧運動 。
43. 管子、管接頭及閥等機件是屬於 (A)傳動機件 (B)流體機件 (C)結合機件 (D)控制機件 。
44. 火車在鐵軌上行走,車輪與鐵軌是屬於 (A)完全對偶 (B)不完全對偶 (C)迴轉對 (D)低對 。
45. 設 P 表示對偶數,N 表示連桿數時,以下表示式何種正確? (A)P=2N 為拘束鏈 (B)P=3N-1 為拘束鏈 (C)P =N − 2為拘束鏈 (D)P > − 2為拘束鏈 。
46. 如圖所示複合滑輪組重物 W=200N,大輪半徑 R=40cm,小輪半徑 r=20cm,則拉力 F 至少應大於多少 N,才能將重物提起?
(A)50N (B)100N (C)150N (D)180N 。
47. 如圖所示滑輪組,若摩擦損失不計,則機械利益為多少?
(A)3 (B)4 (C)5 (D)6 。
48. 觀察下列圖形後,請選出正確的選項
(A)是間歇正齒輪機構,A 為主動 (B)是間歇正齒輪機構,B 為主動 (C)是間歇斜齒輪機構,A 為主動 (D)是間歇斜齒輪機構,B 為主動
49. 自行車之飛輪在向前踩時才能經由鏈條帶動後輪,這是應用 (A)凸輪 (B)間歇齒輪 (C)擒縱器 (D)棘輪 。
50. 下列那一種棘輪沒有輪齒與棘爪,且是靠摩擦力來傳遞動力? (A)多爪棘輪 (B)雙動棘輪 (C)無聲棘輪 (D)可逆棘輪 。