所屬科目:技檢◆輸電地下電纜裝修-乙級
1. 裝設於沿海地區之輸電地下電纜線路其電纜終端匣如使用屋外型,通常其礙管之型式選用______污染型。 (A)中度 (B)輕度 (C)無 (D)嚴重
2. 每邊電阻為 R 歐姆之 Y 形網路化成 Δ 形網路時,則每邊電阻為______ 歐姆。(A)1R (B)2R (C)3R (D) R
3. 屋外或屋內型電纜終端匣支架其接地線通常使用______ ㎜ 2 之裸銅絞線與接 地系統相接。(A)150 (B)80 (C)100 (D)60
4. 下列哪一項是我們在家中常見的環境衛生用藥? (A)乾燥劑 (B)洗滌劑 (C)體香劑 (D)殺蟲劑。
5. 受電源頻率變動影響之電器為 (A)電熱器 (B)加壓器 (C)感應電動機 (D)熱水器。
6. 國內特高壓充油電纜之絕緣體其材質為 (A)低密度 PE (B)高密度 PE (C)聚丙烯(PP) (D)浸油絕緣 紙。
7. 分別為 R、2R、3R 歐姆的三個電阻並聯後接於某電源,則三電阻上電流大小之比為 (A)3:2:1 (B)6:3:2 (C)9:4:1 (D)1:2:3。
8. 充油電纜接續匣銅管之被覆或防蝕層做防蝕補修時,下列情形何者發生時須削除並用鋼絲刷將 表面刷成粗糙: (A)有擦傷 (B)有油污 (C)燒焦碳化 (D)化學藥物污染。
9. 禁菸場所負責人未於場所入口處設置明顯禁菸標示,要罰該場所負責人多少元? (A)1 萬至 25 萬 (B)1 萬至 5 萬 (C)20 萬至 100 萬 (D)2 千至 1 萬。
10. 一回線四管(8〞ΦPVC 管)之輸電地下電纜線路,延放補助接地電纜之管路位置,除另有規定 外,通常放置於 (A)備用管 (B)與 T 相電纜共管 (C)與 S 相電纜共管 (D)與 R 相電纜共管。
11. 目前國內使用之交連 PE 電纜在 PVC 被覆與絕緣體之間的一層是 (A)全鋁線 (B)鍍鋅鐵線 (C)鋼心 鋁線 (D)遮蔽銅線。
12. 「勞工腦心血管疾病發病的風險與年齡、吸菸、總膽固醇數值、家族病史、生活型態、心臟方 面疾病」之相關性為何? (A)負 (B)正 (C)可正可負 (D)無。
13. 下列何者不是能源之類型? (A)熱傳 (B)蒸汽 (C)壓縮空氣 (D)電力。
14. 交連 PE 電纜絕緣體削尖處理及切除內部半導電性帶前,下列步驟中何者須最先處理? (A)用玻 璃片於鉛筆狀處做最後修整 (B)使用絕緣體削尖器將絕緣體削成鉛筆狀 (C)於絕緣體上依施工圖說 做記號 (D)使用三種砂紙依序將鉛筆狀處磨光滑。
15. 下列何者非屬工作安全分析的目的? (A)懲罰犯錯的員工 (B)發現並杜絕工作危害 (C)確立工作安 全所需工具與設備 (D)作為員工在職訓練的參考。
16. 69kV 交連 PE 電纜屋外型終端匣之礙管(Bushing)其漏洩距離(Creepage distance)採用 4080mm 者,通常適用於______地區之裝設。 (A)無污染 (B)中度污染 (C)輕度污染 (D)嚴重污染
17. 利用豬隻的排泄物當燃料發電,是屬於下列哪一種能源? (A)太陽能 (B)生質能 (C)核能 (D)地熱 能。
18. 下列何者不會使電路發生過電流? (A)電路短路 (B)電路斷路 (C)電路漏電 (D)電氣設備過載。
19. 旋緊電纜終端匣底座之固定螺栓,通常使用 (A)活動扳手 (B)固定扳手 (C)扳鉗 (D)扭力扳手。
20. 人孔內接近 69kV 交連 PE 電纜接續匣之電纜部位使用鈴口型支撐(Bell type support)支持,其支臂通常使用______ 型,並配合 L 型固定帶與角鐵支柱組合固定。(A)F1 (B)L1 (C)F2 (D)L2
21. 欲改變三相感應電動機之轉向時,下列何者為正確? (A)將電壓增高 (B)插入電阻 (C)交換任兩條 電源線 (D)將三條電源線同時交換。
22. 從事於易踏穿材料構築之屋頂修繕作業時,應有何種作業主管在場執行主管業務? (A)施工架組 配 (B)模板支撐 (C)擋土支撐組配 (D)屋頂。
23. 電容性電路中 (A)其電流落後電壓 (B)其電流與電壓同相 (C)其電流與電壓反相 (D)其電流超前電 壓。
24. 交連 PE 電纜接續匣導體壓接使用六角型及圓型鋼模,先壓六角型後,兩者方向成 90 度,每一 型每次約重疊 1/2,其壓縮順序為 (A)從右端起至左端 (B)先中央再由端部起逐向中央 (C)從中央起 逐向端部 (D)從左端起至右端。
25. 惠斯頓電橋可量測 (A)電流 (B)頻率 (C)RLC (D)電壓。
26. 電纜連接站使用 161kV 屋外型電纜終端匣裝設,其支架高度通常使用 (A)3 (B)2.5 (C)3.5 (D)4 公 尺。
27. 有關省水馬桶的使用方式與觀念認知,下列何者是錯誤的? (A)因為馬桶是家裡用水的大宗,所 以應該儘量採用省水馬桶來節約用水 (B)選用衛浴設備時最好能採用省水標章馬桶 (C)省水馬桶因 為水量較小,會有沖不乾淨的問題,所以應該多沖幾次 (D)如果家裡的馬桶是傳統舊式,可以加 裝二段式沖水配件。
28. 輸電地下充油電纜線路系統圖中表示閥盤之符號為 (A)(B)(C)(D) 。
29. 物質失去電子,則 (A)不帶電 (B)帶正電 (C)帶陰電 (D)帶負電。
30. 輸電地下充油電纜線路系統圖中裝設於人孔內單端接地之電纜被覆保護裝置,其符號為 (A) (B)(C)(D) 。
31. 交連 PE 電纜接續作業中剝除絕緣體及內部半導電層之長度通常規定為 (A)130mm (B)依照施工圖 說 (C)150mm (D)100mm。
32. 目前國內壓接 69kV 1000mm2 交連 PE 電纜導體,通常使用之壓縮機(compressor)其出力為 ______噸。(A)100 (B)60 (C)200 (D)80
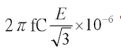
33. 已知某電纜線路之靜電容量 C(μF/km),線間電壓 E(V),電壓頻率 f(Hz),其充電電流 Ic(A/km) 之計算公式為 (A)(B)(C)(D) 。
34. 三相 Y 接線之感應電動機,若相電壓為 220V 時,則線電壓為 (A)300V (B)350V (C)220V (D)380V。
35. 有關營業秘密的敘述,下列何者錯誤? (A)營業秘密得全部或部分讓與他人或與他人共有 (B)營業 秘密所有人得授權他人使用其營業秘密 (C)營業秘密不得為質權及強制執行之標的 (D)受雇人於非 職務上研究或開發之營業秘密,仍歸雇用人所有。
36. 冷氣外洩會造成能源之浪費,下列的入門設施與管理何者最耗能? (A)全開式無氣簾 (B)自動門有 氣簾 (C)自動門無氣簾 (D)全開式有氣簾。
37. 目前國內輸電交連 PE 電纜之金屬遮蔽層通常採用 (A)鉛被套 (B)鋁被套 (C)銅帶加不鏽鋼線 (D)銅 線。
38. 關於個人資料保護法的敘述,下列何者錯誤? (A)非公務機關亦應維護個人資料之正確,並主動 或依當事人之請求更正或補充 (B)公務機關執行法定職務必要範圍內,可以蒐集、處理或利用一 般性個人資料 (C)間接蒐集之個人資料,於處理或利用前,不必告知當事人個人資料來源 (D)外國 學生在臺灣短期進修或留學,也受到我國個人資料保護法的保障。
39. 關於綠色採購的敘述,下列何者錯誤? (A)採購由回收材料所製造之物品 (B)採購的產品對環境及 人類健康有最小的傷害性 (C)以精美包裝為主要首選 (D)選購對環境傷害較少、污染程度較低的產 品。
40. 目前國內 69kV 充油電纜之容許最高油壓設計為______㎏/㎝ 2G。 (A)4 (B)5 (C)3 (D)6
41. 對於噪音管制法之規定,下列敘述何者錯誤? (A)噪音指超過管制標準之聲音 (B)人民得向主管機 關檢舉使用中機動車輛噪音妨害安寧情形 (C)環保局得視噪音狀況劃定公告噪音管制區 (D)使用經 校正合格之噪音計皆可執行噪音管制法規定之檢驗測定。
42. 輸電地下電纜線路遮蔽接地系統採用交錯連接(Cross-bonding)時,其絕緣型電纜接續匣處,所裝 設之電纜被覆保護裝置型式通常使用 (A)SB-1 型 (B)SB-2 型 (C)SB-S 型 (D)XB 型。
43. 充油電纜鋁被套刷除氧化膜後須鍍多層金屬,通常使用______焊條。 (A)不鏽鋼 (B)銅 (C)鋁 (D)鉛
44. 輸電用交連 PE 電纜之製造依規定須採用三層一次押出,乾式加硫及乾式冷卻,所謂三層依序係 指 (A)絕緣遮蔽體、絕緣體及遮水層 (B)絕緣體、絕緣遮蔽體及遮水層 (C)絕緣遮蔽體、絕緣體及 導體遮蔽體 (D)導體遮蔽體、絕緣體及絕緣遮蔽體。
45. 連接站架空引下線連接避雷器之引接線通常使用 (A)全鋁線或裸銅線 (B)銅板 (C)鋼心鋁線 (D)銅 管。
46. 電纜之容許拉力與電纜之 ______有關。(A)彎曲半徑 (B)絕緣材料 (C)導體截面積 (D)被覆厚度
47. 電纜絕緣體之介質損失(Wd)與線間電壓(E)之關係為 (A)成正比 (B)成反比 (C)電壓之平方成反比 (D) 電壓之平方成正比。
48. 國內交連 PE 特高壓電纜之被覆層材質通常採用 (A)橡膠 (B)聚丙烯(PP) (C)PE (D)PVC。
49. 欲拆除比流器二次側之計器,應先將二次側 (A)開路 (B)短路 (C)計器之線路拆除 (D)接地。
50. 切除充油電纜之鋁被套通常使用 (A)鏈鋸 (B)挫刀 (C)電鋸 (D)手弓鋸。
51. 磁通密度的單位為 (A)韋伯 (B)牛頓 (C)韋伯/平方公尺 (D)達因。
52. 一個電阻器之額定規格為 100 瓦特 4 歐姆,其所能通過之安全電流為 (A)10 安培 (B)14 安培 (C)5 安培 (D)1 安培。
53. 下列何種開發行為若對環境有不良影響之虞者,應實施環境影響評估?
A.開發科學園區;B.新 建捷運工程;C.採礦 (A)AB (B)AC (C)BC (D)ABC。
54. 目前國內 161kV 充油電纜之正常油壓設計為______㎏/㎝ 2G。 (A)4 (B)6 (C)5 (D)3
55. 69kV 及 161kV 輸電電纜佈設後固定時之最小彎曲半徑,為電纜外徑之 (A)10 倍 (B)15 倍 (C)25 倍 (D)20 倍。
56. 國內輸電用 161kV 交連 PE 電纜採用遮水層做為第一道防水保護,其位置設計為 (A)銅線遮蔽層 下層 (B)絕緣遮蔽層上層 (C)絕緣體上層 (D)被覆下層。
57. 充油電纜於絕緣體削尖處理後通常使用 (A)壓縮空氣吹除 (B)乾淨棉布拭擦 (C)乾淨麻布拭擦 (D)絕緣油洗淨 絕緣體表面之污水或異物。
58. 為建立良好之公司治理制度,公司內部宜納入何種檢舉人制度? (A)告訴乃論制度 (B)不告不理制 度 (C)非告訴乃論制度 (D)吹哨者(whistleblower)保護程序及保護制度。
59. 交連 PE 電纜之接續作業前須先將電纜整直,其方式通常使用 (A)工業用吹風機 (B)電熱烤箱 (C)電 熱繃帶 (D)老化爐 加熱。
60. 交連 PE 電纜接續作業中切斷遮蔽銅線之長度通常為 (A)20 公分 (B)25 公分 (C)依照廠家施工圖說 (D)35 公分。
61. 有關電力線,下列敘述何者正確? (A)空間中任一點,有 2 根電力線 (B)電力線不成封閉曲線 (C) 電力線絕不相交 (D)同一電力線之出發及終點,不能在同一導體上。
62. 目前台電輸電線使用之 69kV 及 161kV 輸電交連 PE 電纜兩者主要結構差異為下列何者? (A)遮 水層 (B)繃紮帶 (C)止水層 (D)內半導電層。
63. 下列電纜鐵鋁配件器材名稱與用途之敘述,何者正確? (A)接續匣固定套:裝設於人孔或涵洞內 側壁之支臂上,用以固定電纜接續匣,與接續匣接觸面需襯以橡膠墊 (B)電纜鈴口型支撐:支撐 電纜並保持電纜於鈴口自由滑動,藉以變化電纜反曲(offset)之曲率,吸收電纜膨脹及收縮 (C)管 路口防水圈:設計以螺栓旋緊使橡膠墊圈向外擴張,以達防水效果 (D)電纜拉線環:連接於每捲 電纜外末端,工作電纜電氣試驗之用。
64. 輸電用充油電纜真空處理之真空瓶設備,其組成零件包含 (A)陷油器(Trap) (B)閥門與連接器 (C)真 空泵 (D)主真空瓶與真空計。
65. 輸電充油電纜線路裝設壓力調節槽(Pressure tank)之主要目的,下列敘述何者正確? (A)容納或供 給電纜內部絕緣油用 (B)備用補油 (C)循環冷卻 (D)穩定油壓。
66. 充油電纜接續匣或終端匣於完成鉛工作業後,須施作防蝕層包紮作業,施作前之程序敘述下列 何者正確? (A)抽真空後即充油 (B)如無漏油現象,即可包紮防蝕層 (C)檢視鉛工部位於銅管末端 處有否漏油現象 (D)先進行排氣真空處理(回路漏氣試驗)。
67. 輸電電纜終端匣或接續匣其O型油封之安裝,下列敘述何者正確? (A)可使用膠帶假固定,安裝 後不須移除 (B)安裝組立時,須依規定塗抹矽油膏 (C)須注意安裝位置,不可跑出溝槽 (D)安裝前 須詳細檢查有無損傷。
68. 國內 69kV 交連 PE 電纜之接續絕緣處理通常使用自動繞捲機,其操作之敘述何者正確? (A)調整 絕緣膠帶之張力 (B)調整自動繞捲機之底座成水平 (C)調整自動繞捲機之轉速 (D)安裝絕緣帶。
69. 輸電用交連 PE 電纜終端匣組立之銅管組立程序敘述何者正確? (A)首先電力錐依組立尺寸須安 裝定位 (B)遮蔽銅線壓接(焊接)或螺栓緊度須確實 (C)電力錐壓力器依順時針及尺寸均勻鎖緊 (D)導 體引出棒之長度應保留露出最大長度。
70. 充油電纜接續匣或終端匣於鉛工作業完成後,施做鉛工補強及防蝕層包紮,施做前之程序敘述 下列何者正確? (A)鋁被及銅管先將包紮處清除表面之氧化膜,再用鋼絲刷刷成粗糙表面 (B)鉛工 處表面用鋼絲刷及砂布刷除鉛工作業時所遺留之脂腊,並抹除表面多餘焊料碎片 (C)用絕緣油沖 洗表面 (D)用去漬油洗淨表面。
71. 輸電電纜導體遮蔽層的特性,下列敘述何者正確? (A)保護絕緣體不受外傷及腐蝕影響,以及防 止濕氣入侵絕緣體 (B)故障時供異常電流流出 (C)絕緣體內的電位分佈均勻,可緩和電界強度 (D) 輸電電纜導體遮蔽層為故障電流及充電電流之通路。
72. 輸電電纜被覆保護裝置的安裝作業,下列敘述何者不正確? (A)接地電纜與保護裝置連接時,固 定導體的螺栓要鎖越緊越好 (B)保護裝置以接地電纜連接到人孔接地點時,接地電纜可使用開放 型壓接端子做壓接 (C)保護裝置上蓋螺栓需依扭力規定均勻鎖緊 (D)接地電纜與保護裝置箱體間不 需另外做防水處理。
73. 輸電交連 PE 電纜人孔內使用之鈴口型支撐,其固定於側壁主要裝置材料除鈴口型支撐以外,須 配合下列何種配件使用? (A)角鐵支柱 (B)L2 支臂 (C)L1 支臂 (D)L 型固定帶。
74. 輸電線路裝置(如下圖),係由下列何種鐵鋁配件組成?
(A)RL 型固定帶 (B)L2 支臂 (C)角鐵支柱 (D)RL 型支臂。
75. 充油電纜接續匣或終端匣於鉛工作業完成後,須施做鉛工補強及防蝕層包紮,其包紮處清理乾 淨後,下列程序敘述何者正確? (A)將前述之混合物全面塗於銅管、鉛工處及鋁被等之表面,次 用玻璃帶包紮,重複施做二、三次 (B)使用樹脂與軟化劑攪拌均勻 (C)使用樹脂與硬化劑攪拌均勻 (D)用自融帶、黏著帶及合成膠帶等依廠家說明書包紮。
76. 輸電電纜延放線之工作內容,下列敘述何者正確? (A)電纜引入水平角度愈大愈好 (B)拉力須符合 容許值並紀錄 (C)拉引速度越快越好 (D)延線方向依影響交通流量大小決定。
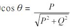
77. 充油電纜之基層鉛工於最後階段之處理,下列敘述何者正確? (A)將焊條加熱熔解於鍍層上 (B)使 用鉛焊條 (C)推送焊料時須保溫,使全面壓貼於鍍層表面,並依圖示尺寸完成所需外徑 (D)使用鋁焊條。
78. 輸電充油電纜線路設備中,下列何者須接地? (A)警報器 (B)油管 (C)壓力調節槽 (D)閥盤。
79. 以兩瓦特計測平衡三相功率,其兩表讀數分別為 W1 及 W2,下列敘述何者正確? (A)Q= (W1- W2 ) (B)P=W1-W2 (C)(D)P=W1+W2。
80. 當 R-L-C 並聯電路產生諧振時,下列何種情況正確? (A)總導納最大 (B)總電壓與總電流同相 (C) 總電流最大 (D) 。