阿摩線上測驗
登入
首頁
>
技檢◆輸電地下電纜裝修-乙級
> 114年 - 16800 輸電地下電纜裝修 乙級 工作項目 02:基本技能 51-120(2025/12/26 更新)#135740
114年 - 16800 輸電地下電纜裝修 乙級 工作項目 02:基本技能 51-120(2025/12/26 更新)#135740
科目:
技檢◆輸電地下電纜裝修-乙級 |
年份:
114年 |
選擇題數:
70 |
申論題數:
0
試卷資訊
所屬科目:
技檢◆輸電地下電纜裝修-乙級
選擇題 (70)
51. 目前國內輸電線用 69kV 交連 PE 電纜之遮蔽層採用銅線遮蔽,其素線線徑及條數規定為 (A)1.2Φ㎜×48 條 (B)1.2Φ㎜×65 條 (C)1.4Φ㎜×65 條(D)1.4Φ㎜×48 條 。
52. 目前國內輸電線用 161kV 交連 PE 電纜之遮蔽層採用銅線遮蔽,其素線線徑及條數規定為 (A)1.2Φ㎜×80 條 (B)1.4Φ㎜×80 條 (C)2.0Φ㎜×65 條(D)2.0Φ㎜×80 條 。
53. 目前國內輸電線用 69kV 交連 PE 電纜之遮蔽層,其截面積設計能承受系統故障電流及持續時間為 (A)10KA/0.4 秒 (B)10KA/1.7 秒 (C)15KA/0.4秒 (D)15KA/1.7 秒 。
54. 目前國內輸電線用 161kV 交連 PE 電纜之遮蔽層其截面積設計能承受系統故障電流及持續時間為 (A)40KA/0.4 秒 (B)40KA/1 秒 (C)50KA/0.4 秒(D)50KA/1 秒 。
55. 國內目前輸電用 69kV 交連 PE 電纜之絕緣體其標稱厚度規定為_______ ㎜。(A)12.51(B)13.61 (C)15.61 (D)16.51
56. 國內目前輸電線用 161kV 交連 PE 電纜之絕緣體其標稱厚度規定為______ ㎜。(A)20 (B)23 (C)25 (D)27
57. 電纜連接站使用 161kV 屋外型電纜終端匣裝設,其支架高度通常使用_______公尺。(A)2.5 (B)3 (C)3.5 (D)4
58. 屋外變電所使用 69kV 屋外型電纜終端匣裝設,其支架高度通常使用 _______公尺。(A)2.5 (B)3 (C)3.5 (D)4
59. 輸電充油電纜之常時容許最高溫度為________℃。 (A)80 (B)85 (C)90 (D)95
60. 輸電交連 PE 電纜之常時容許最高溫度為______ ℃。(A)80 (B)85 (C)90 (D)95
61. 161kV4000MCM 充油電纜之導體截面積相當於________ ㎜
2
。(A)2000 (B)1600 (C)1200(D)1000
62. 目前國內 161kV 充油電纜之正常油壓設計為______ ㎏/㎝
2
G。(A)3 (B)4 (C)5 (D)6
63. 目前國內 161kV 充油電纜之容許最高油壓設計為______㎏/㎝
2
G。(A)4 (B)5 (C)6 (D)7
64. 目前國內 161kV 充油電纜之瞬間容許最高油壓設計為_______㎏/㎝
2
G。 (A)8 (B)9 (C)10 (D)11
65. 目前國內輸電交連電纜採用第一道遮水層設計,其材料為 (A)鋁被套 (B)鉛被套 (C)不鏽鋼帶 (D)積層鋁帶或積層鉛帶 。
66. 目前國內 69kV 交連 PE 電纜之絕緣體平均厚度規定不得小於規定值之(A)80 (B)85 (C)90 (D)100 %。
67. 目前國內 69kV 交連 PE 電纜之絕緣體最小厚度規定不得小於規定值之(A)80 (B)85 (C)90 (D)95 ﹪。
68. 目前國內 161kV 交連 PE 電纜之絕緣體平均厚度規定不得小於規定值之(A)80 (B)85 (C)90 (D)95 ﹪。
69. 目前國內 161kV 交連 PE 電纜之絕緣體最小厚度規定不得小於規定值之(A)80 (B)85 (C)90 (D)95 ﹪。
70. 目前國內輸電交連 PE 電纜之金屬遮蔽層通常採用 (A)鋁被套 (B)鉛被套(C)銅線 (D)銅帶加不鏽鋼線 。
71. 交連 PE 電纜導體及銅線遮蔽之單線其伸長率以拉力機測定(設 L:試樣原標距離;L':試樣拉斷之距離),其伸長率(﹪)之計算式為 (A)
×100(B)
×100 (C)
×100 (D)
×100 。
72. 測量電纜導體或絕緣體之平均直徑,通常任選近試樣兩端及中央三處,每處在同一垂直之水平面上,隔_______測量兩次以上,然後將所測值加總平均,即為該試樣之平均直徑。 (A)30° (B)45° (C)60° (D)90°
73. 目前國內輸電 69kV 交連 PE 電纜用之氣封型或浸油型電纜終端匣其礙管底座與電纜遮蔽層隔離之絕緣筒,其最小衝擊耐電壓設計不得少於_____kV。(A)22.5 (B)30 (C)45 (D)60
74. 目前國內輸電 69kV 交連 PE 電纜用之絕緣型電纜接續匣與電纜遮蔽層相隔離之絕緣筒,其最小衝擊耐電壓設計不得少於______kV。 (A)22.5 (B)30 (C)45(D)60
75. 目前國內輸電 161kV 交連 PE 電纜用之氣封型或浸油型電纜終端匣其礙管底座與電纜遮蔽層隔離之絕緣筒,其最小衝擊耐電壓設計不得少於(A)22.5 (B)30 (C)45 (D)60 kV。
76. 目前國內輸電 161kV 交連 PE 電纜用之絕緣型電纜接續匣與電纜遮蔽層相隔離之絕緣筒,其最小衝擊耐電壓設計不得少於 ________kV。(A)22.5 (B)30 (C)45(D)60
77. 輸電用交連 PE 電纜之製造依規定須採用三層一次押出,乾式加硫及乾式冷卻,所謂三層依序係指 (A)導體遮蔽體、絕緣體及絕緣遮蔽體 (B)絕緣遮蔽體、絕緣體及導體遮蔽體 (C)絕緣體、絕緣遮蔽體及遮水層 (D)絕緣遮蔽體、絕緣體及遮水層 。
78. 目前國內 161kV 交連 PE 電纜之構造檢查中規定絕緣體之偏心率不得大於 0.15,所謂偏心率之定義為 (A)
(B)
(C)
(D)
。
79. 輸電交連 PE 電纜之使用壽命,通常採用 (A)循環老化 (B)交流耐壓 (C)長時間耐壓 (D)衝擊波耐壓 。
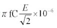
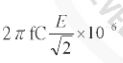
80. 已知某電纜線路之靜電容量 C(μF/km),線間電壓 E(V),電壓頻率f(Hz),其充電電流 Ic(A/km)之計算公式為 (A)
(B)
(C)
(D)
。
81. 電纜絕緣體之介質損失(Wd)與線間電壓(E)之關係為 (A)成正比 (B)成反比 (C)電壓之平方成正比 (D)電壓之平方成反比 。
82. 交連 PE 電纜絕緣體之介質損失較充油電纜紙絕緣體為小,故送電容量較高,其介質常數(Tanδ)為 (A)0.004 (B)0.001 (C)0.01 (D)0.1 。
83. 地下電纜之土建工程費用其埋設方式以_______最為經濟。(A)直埋式 (B)管路式 (C)涵洞式(D)潛盾隧道式
複選題
84. 充油電纜那些器材安裝程序,需經過配管、排氣、真空處理及充油等步驟,依其順序完成後方能使用? (A)接續匣 (B)終端匣 (C)閥盤 (D)電纜被覆保護裝置 。
複選題
85. 輸電電纜線路接地系統常用之電纜被覆保護裝置的型式 (A)XB (B)XB-2(C)SB-2 (D)SB-1 。
複選題
86. 輸電電纜普通接續匣與絕緣接續匣之差異,下列敘述何者正確? (A)普通接續匣兩側之遮蔽層是隔離的 (B)絕緣接續匣兩側之遮蔽層是隔離的(C)絕緣接續匣兩側之遮蔽層是連接的 (D)普通接續匣兩側之遮蔽層是連接的 。
複選題
87. 輸電電纜絕緣接續匣之遮蔽層非接地端,通常使用下列何種器材? (A)同心接地電纜 (B)普通接地電纜 (C)SB-2 型電纜被覆保護裝置 (D)XB 型電纜被覆保護裝置 。
複選題
88. 輸電交連 PE 電纜接續前整直作業,下列敘述何者正確? (A)電纜被覆確認整直長度尺寸及做相關記號 (B)可使用電熱繃帶加熱電纜,然後用角鋼整直 (C)使用吹風機加溫後,用手扳直 (D)電纜加熱整直之溫度維持在85℃ 。
複選題
89. 輸電交連 PE 電纜接續作業,削尖外部半導電層時,通常使用下列何種規格砂紙? (A)#600 (B)#400 (C)#240 (D)#120 。
複選題
90. 輸電交連 PE 電纜接續之剝離被覆作業時,下列敘述何者正確? (A)依指定之長度以膠帶垂直捲紮被覆,做為剝除點之記號 (B)用手鋸以圓周切割後將被覆剝除 (C)被覆剝除點外之石墨粉依規定範圍以砂紙磨除 (D)以絕緣油拭擦乾淨 。
複選題
91. 輸電交連 PE 電纜接續作業,於削尖外部半導電層時,下列敘述何者錯誤? (A)使用玻璃片處理 (B)使用美工刀處理 (C)如不慎傷及絕緣體時只要磨平即可 (D)使用剝除器依規定長度均勻完全剝除 。
複選題
92. 輸電充油電纜之補油系統中,裝設壓力調節槽(Pressure tank)之主要目的: (A)循環冷卻 (B)穩定油壓 (C)備用補油 (D)容納或供給電纜內部絕緣油用 。
複選題
93. 輸電電纜管路試通作業,下列敘述何者正確? (A)試通前確認試通棒規格尺寸 (B)管路試通方向依管路接管方向決定 (C)試通過程應設置拉力計(D)管路口相關尖物及雜物應清理乾淨 。
複選題
94. 輸電電纜鐵鋁配件安裝作業,下列敘述何者正確? (A)檢查鐵鋁配件規格須與材料表相符合 (B)管路口防水圈須符合 PVC 管內徑 (C)加工過鐵鋁配件不需防鏽處理 (D)檢查預埋螺栓是否合於使用 。
複選題
95. 輸電電纜延放線之工作內容,下列敘述何者正確? (A)電纜引入水平角度愈大愈好 (B)拉力須符合容許值並紀錄 (C)延線方向依影響交通流量大小決定 (D)拉引速度越快越好 。
複選題
96. 輸電電纜延放線完成後,下列作業敘述何者是必要的? (A)量測電纜被覆絕緣電阻 (B)量測電纜絕緣層絕緣電阻 (C)核對相序位置的正確性 (D)電纜餘長切除後確實做好防水處理 。
複選題
97. 固定或支撐輸電交連 PE 電纜時,通常使用下列何種配件? (A)鋁合金固定座 (B)彈簧式固定座 (C)鈴口型支撐 (D)櫸木夾板 。
複選題
98. 固定或支撐輸電充油電纜,通常使用下列何種配件? (A)鋁合金固定座(B)彈簧式固定座 (C)鈴口型支撐 (D)電纜支持礙子 。
複選題
99. 輸電用充油電纜真空處理之真空瓶設備,其組成零件包含 (A)主真空瓶與真空計 (B)陷油器(Trap) (C)閥門與連接器 (D)真空泵 。
複選題
100. 輸電電纜接續匣安裝作業前之準備工作,下列敘述何者正確? (A)檢視接續匣支撐高度 (B)接續材料的整理及清點 (C)防水防塵措施 (D)半導電漆塗佈是否均勻 。
複選題
101. 輸電交連 PE 電纜彎曲校正應查對的項目,下列敘述何者正確? (A)確認電纜接續位置 (B)管路出口電纜應保留規定的直線段 (C)電纜端末應實施防水處理 (D)半導電漆塗佈是否均勻 。
複選題
102. 輸電充油電纜接續匣之鉛工補強及防蝕處理作業,下列敘述何者正確?(A)通常以樹脂與硬化劑攪拌 (B)攪拌後均勻塗於銅管、鉛工處及鋁被套表面 (C)補強防蝕保護施工時為加速其軟化,可用噴燈快速加熱 (D)補強防蝕保護施工時為加速其硬化,可用稍高於常溫加熱 。
複選題
103. 輸電交連 PE 電纜接續前之電纜切斷作業,下列敘述何者正確? (A)確認電纜切斷點位置 (B)量測電纜絕緣層絕緣電阻 (C)確認電纜相序位置 (D)管路口相關尖物及雜物不用清理乾淨 。
複選題
104. 輸電交連 PE 電纜之剝除及研磨作業,下列敘述何者正確? (A)剝除被覆時可損傷遮蔽銅線 (B)削尖外半導電層時不可傷及絕緣體 (C)銅導體之切斷毛邊應磨平倒角處理 (D)研磨各部位時均可使用砂輪機 。
複選題
105. 輸電交連 PE 電纜絕緣體研磨作業,下列敘述何者正確? (A)確認半導電漆塗佈均勻 (B)確認簡易鏡面處理不可刮傷及異物附著 (C)研磨處理之各部尺寸合乎圖面規定值 (D)研磨各部位時可使用砂輪機 。
複選題
106. 輸電交連 PE 電纜人孔內使用之鈴口型支撐,其固定於側壁主要裝置材料除鈴口型支撐以外,須配合下列何種配件使用? (A)角鐵支柱 (B)L 型固定帶 (C)L1 支臂 (D)L2 支臂 。
複選題
107. 輸電充油電纜人孔內之反曲段以管型支柱支撐時,須配合下列何種配件使用? (A)OL 固定帶 (B)RO 固定帶 (C)電纜支持礙子 (D)RF 型支臂 。
複選題
108. 下列何者為輸電充油電纜接續匣或終端匣防水處理使用之膠帶? (A)自融性膠帶 (B)防水膠帶 (C)PVC 膠帶 (D)半導電性膠帶 。
複選題
109. 輸電交連 PE 電纜絕緣接續匣之配件種類包含項目有: (A)保護銅管 (B)絕緣筒 (C)鋼心 (D)壓接套筒 。
複選題
110. (本題刪題)輸電用交連 PE 電纜氣封型電纜終端匣之配件種類包含項目有: (A)導體引出棒 (B)電暈遮蔽蓋 (C)樹脂礙管 (D)絕緣筒 。
複選題
111. 輸電用交連 PE 電纜普通型接續匣之配件種類包含項目有: (A)保護銅管(B)絕緣筒 (C)壓接套管 (D)橡膠墊圈(O-ring) 。
複選題
112. 輸電用充油電纜普通型接續匣之配件種類包含項目有 (A)保護銅管 (B)絕緣筒 (C)止油裝置(oil sealing or semi-stop device) (D)鋼心 。
複選題
113. 輸電交連 PE 電纜屋外終端匣之配件種類中,下列何者屬於該器材配件? (A)導體引出棒 (B)瓷礙管 (C)絕緣筒(Insulating Section) (D)端子板 。
複選題
114. 輸電用交連 PE 電纜終端匣組立之絕緣混合劑填充程序敘述何者正確?(A)確定絕緣混合劑是常溫型或加溫型 (B)絕緣混合劑注入時溫度是否合乎規定值 (C)絕緣混合劑採一次注入且注入量合乎規定值 (D)常溫型的混合劑使用攪拌器攪拌達一分鐘以上 。
複選題
115. 輸電用交連 PE 電纜終端匣組立之銅管組立程序敘述何者正確? (A)首先電力錐依組立尺寸須安裝定位 (B)電力錐壓力器依順時針及尺寸均勻鎖緊 (C)導體引出棒之長度應保留露出最大長度 (D)遮蔽銅線壓接(焊接)或螺栓緊度須確實 。
複選題
116. 輸電用交連 PE 電纜終端匣組立之引出棒壓縮處理程序敘述何者正確?(A)壓縮前應套入之組件須詳細清點 (B)套入組件時應保護組件免於損傷銅管 (C)套入之方向應正確且須經二人以上確認 (D)導體引出棒套入時須完全定位並保持筆直 。
複選題
117. 輸電用交連 PE 電纜延線作業程序之敘述何者正確? (A)施工前依現場路徑狀況須經道路管理單位同意核備 (B)工作前檢點工安設備、安全措施及照明設備 (C)進入侷限空間工作前確實通風及量測各種氣體 (D)檢查試通用鋼絲繩須良好適用 。
複選題
118. 輸電用交連 PE 電纜管路試通作業之敘述何者正確? (A)進入侷限空間工作前確實通風及量測各種氣體 (B)工作前檢點工安設備、安全措施及照明設備 (C)確認管路試通棒尺寸須符合規定 (D)確認接地棒之接地電阻值須符合標準 。
複選題
119. 進入輸電線人孔裝置電纜鐵鋁配件作業之敘述何者正確? (A)進入侷限空間工作前確實通風及量測各種氣體 (B)工作前檢點工安設備、安全措施及照明設備 (C)使用鐵鋁配件之規格尺寸須符合設計圖 (D)加工過之鐵配件須防鏽處理 。
複選題
120. 國內 69kV 交連 PE 電纜之接續絕緣處理通常使用自動繞捲機,其操作之敘述何者正確? (A)調整自動繞捲機之底座成水平 (B)安裝絕緣帶 (C)調整絕緣膠帶之張力 (D)調整自動繞捲機之轉速 。
申論題 (0)