所屬科目:技檢◆儀表電子-乙級
(A)R/L (B)L/R (C)R*L (D)R*L/V 。
(A)V1/V2=N1/N2(B)V1/V2=N2/N1(C)V1/V2=(N1/N2)2 (D)V1/V2=(N2/N1)2 。
(A)2+j1Ω (B)4+j2Ω (C)8+j4Ω (D)16+j8Ω 。
(A)20mF (B)25mF (C)50mF (D)100mF 。
(A)拋物線波形 (B)方波波形 (C)脈波波形 (D)正弦波波形 。
(A)20μH (B)40μH (C)60μH (D)100μH 。
(A)4V (B)6V (C)8V (D)10V 。
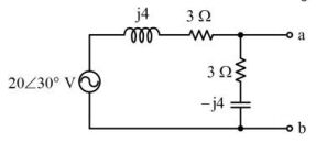
(A)12V (B)18V (C)24V (D)30V 。
(A)80kΩ時,a、b 兩端點短路,電表頭可指示滿刻度 (B)10kΩ時,a、b 兩端的端電壓為 4.5 伏特 (C)0Ω時,a、b 兩端點短路,電表頭 會燒毀 (D)140kΩ時,a、b 兩端短路的電流為 60μA 。
(A)I=1.5A (B)=2V (C)等效電阻 =10Ω(D) 之相依電流源為 2.5A 。
(A)A=B=C (B)B>A (C)C>B (D)負載 B之功率為 0.02E2(W) 。
(A)為 7 安培 (B) 為 8 安培 (C) 為 10 安培 (D) 電流表的電流總和為 23 安培 。
(A)平均值為 (B)有效值為 (C)波形因數約為 1.355 (D)波峰因數約為 2.534 。
(A)受力為 0.25 牛頓 (B)受力約為 0.56 達因 (C)受力方向為推出紙面 (D)與磁場並未正交,故磁場對於導線無作用力 。
(A)移除負載後,a、b 兩端之等效電阻 =2Ω (B)a、b 兩端的戴維寧等效電壓為5V (C)電流 =1.25A (D)負載 產生 12.5W 。
(A)=7μF (B)=21μF (C)=14μF (D)=3μF 。
(A)=18 亨利 (B)=16 亨利 (C)=8 亨利 (D)=30.5 亨利 。
(A) (B) (C) (D) 。