阿摩線上測驗
登入
首頁
>
技檢◆儀表電子-乙級
> 114年 - 11500 儀表電子 乙級 工作項目 06:電子學 51-100(2025/11/04 更新)#133299
114年 - 11500 儀表電子 乙級 工作項目 06:電子學 51-100(2025/11/04 更新)#133299
科目:
技檢◆儀表電子-乙級 |
年份:
114年 |
選擇題數:
50 |
申論題數:
0
試卷資訊
所屬科目:
技檢◆儀表電子-乙級
選擇題 (50)
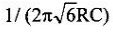
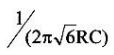
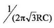
51. 如下圖電路所示,為韋恩電橋振盪器,若 R
1
=R
2
=R,C
1
=C
2
=C,則振盪頻率為何?
(A)
(B)
(C)
(D)
。
52. 考畢子振盪器的回授電路,通常由什麼元件所組成? (A)二個電感器、一個電容器 (B)二個電容器、一個電感器 (C)二個電阻器、一個電感器 (D)二個電感器、一個電阻器 。
53. 如下圖電路所示,第 5 腳所接之電容器作用為何?
(A)減少雜訊干擾 (B)減少放電時間 (C)減少振盪頻率 (D)增加振盪頻率 。
54. OPA 之理想電壓放大器,下列何者不正確? (A)頻寬無限大 (B)輸出電阻無限大 (C)抵補電壓為零 (D)電壓增益無限大 。
55. 電壓並聯負回授可改善下列何種放大器的特性? (A)電壓放大器 (B)互阻放大器 (C)互導放大器 (D)電流放大器 。
56. 下列四項中,那一個具有最大的輸入阻抗? (A)達靈頓組態 (B)JFET (C)MOSFET (D)射極隨耦器 。
57. 如下圖電路所示,集極負載 R
L
應為多少?
(A)100Ω (B)200Ω (C)300Ω (D)400Ω 。
58. 如下圖所示之微分電路,若以方波輸入,則輸出波形為何?
(A)
(B)
(C)
(D)
。
59. 在積體電路中所採用的耦合方式通常為何? (A)RC 耦合 (B)阻抗耦合 (C)變壓器耦合 (D)直接耦合 。
60. 如下圖電路所示,若 V
C
起始值為零,開關 ON 後,LED 會如何?
(A)由亮漸暗 (B)由暗漸亮 (C)恆亮 (D)恆暗 。
61. 推挽式放大器可減少何種失真? (A)直流成份 (B)奇次諧波 (C)偶次諧波 (D)奇偶諧波 。
62. 消除交叉失真的方法為何? (A)增加微小逆向偏壓 (B)增加微小順向偏壓(C)增加電源電壓 (D)增加電晶體的β值 。
63. 下列何者不是負回授的優點? (A)增加頻寬 (B)減少失真 (C)增加穩定度 (D)增加放大倍數 。
64. 放大器的設計,若要改善對信號之延遲現象,可用何種方式改善之? (A)提高增益 (B)穩定偏壓 (C)增加頻率響應寬度 (D)提高電源電壓 。
65. 差動放大器的射極電阻增大時,下列敘述何者正確? (A)增加電流增益(B)增加電壓增益 (C)增加輸入阻抗 (D)增加共模拒斥比 。
66. 下圖電路為何種電路?
(A)半波整流器 (B)積分器 (C)對數放大器 (D)正的峰值檢波器 。
67. 如下圖電路若二極體為理想時,則 V
o
波形為何?
(A)
(B)
(C)
(D)
。
68. 將電晶體當作電子開關使用時,它是工作於那一區? (A)動作區 (B)截止區 (C)截止區或飽和區 (D)飽和區 。
69. 若一共射極放大器的電壓增益為 40dB,其後串接一級射極隨耦器,則總電壓增益變為多少 dB? (A)10 (B)20 (C)40 (D)60 。
70. 如下圖電路所示,將 R 變小其結果將有何變化?
(A)VA B電壓變小、I 變小 (B)V
AB
及 I 均變大 (C)V
AB
電壓變小、I 變大 (D)V
AB
及 I 均不變 。
71. 若把正弦波送到微分電路微分,則其輸出波形與原波形相位差幾度? (A)0° (B)45° (C)90° (D)180° 。
72. 對一個 NPN 型雙載體接面電晶體(BJT)工作於絕對溫度 300°K,當集極電流 I
C
=1mA,其互導
為何? (A)5mS (B)25mS (C)40mS (D)100mS 。
73. 如下圖電路所示,電晶體之β值為 50,則此放大電路之輸入電阻 Ri 約為何?
(A)50Ω (B)500Ω (C)1kΩ (D)2kΩ 。
74. 某放大器其電壓增益 A
V
=200,由於溫度變化關係致使其電壓增益變化量為 2%,加上回授因素β=2%的負回授後,則其電壓增益 A
f
變動量為何? (A)0.1% (B)0.2% (C)0.4% (D)0.8% 。
75. 某一放大器之電壓增益為 25,總諧波失真為 15%,若接上一負回授電路,回授因素β為 2%,則此放大器之諧波失真為何? (A)7.5% (B)10%(C)12.5% (D)15% 。
76. 如下圖電路所示,其等效為何種邏輯閘?
(A)AND 閘 (B)OR 閘 (C)NAND閘 (D)NOT 閘 。
77. 不須外加電源即可工作的元件,係下列那一個? (A)光敏電阻 (B)光伏打電池 (C)光電晶體 (D)隧道二極體 。
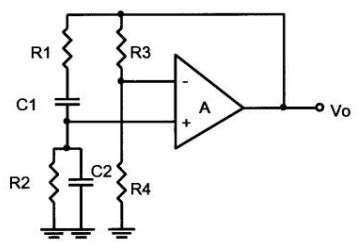
78. 如下圖電路所示,若 V
i
(t)=V
p
Sinωt,則 Vo(t)=?
(A)-ωRCVpCosωt(B)-ωRCVpSinωt (C)-ωVpCosωt/(RC) (D)-ωVpSinωt/(RC) 。
79. 如下圖電路所示,若 V
i
=1V,則 Vo=?
(A)-1V (B)-10V (C)+1V (D)+10V 。
80. 關於差動放大器的敘述,下列何者有誤? (A)CMRR 值愈高,對雜訊排斥的能力愈好 (B)Vo=A
d
V
d
+A
c
V
c
(C)CMRR=V
d
/V
c
(D)Vo=A
d
V
d
[1+V
c
/(CMRR˙V
d
)] 。
81. 有一差動放大器,其 CMRR=100,當 V
i1
=50μV,V
i2
=-50μV 時之輸出電壓,與輸入電壓改為 V
i1
=1050μV,V
i2
=950μV 時之輸出電壓,兩者相差若干? (A)3% (B)5% (C)8% (D)10% 。
82. 如下圖電路所示,若
,V
d
=V
i1
-V
i2
,而 A
d
=Vo/V
d
,則 A
d
約為若干?
(A)-h
fe
Rc/[2(Rs+h
ie
)] (B)h
fe
Rc/(Rs+h
ie
) (C)h
fe
Rc/[2(Rs+h
ie
)] (D)-h
fe
Rc/(Rs+h
i e
) 。
83. 所有弦波振盪都必須遵守的巴克豪生準則為何? (A)Aβ=0.707∠45° (B)Aβ=1∠0° (C)Aβ=1.414∠45° (D)Aβ=0∠0° 。
84. 如下圖電路所示,設 OPA 之 V
O(max)
及-V
O(max)
分別為+12V 及-12V,則其 V
O(P - P)
為何?
(A)6V (B)9V (C)12V (D)15V 。
85. 有一差動放大器,V
i1
=140μV,V
i2
=60μV 時,其輸出電壓 V
o
=81mV,但換成 V
i1
=120μV,V
i2
=80μV 的輸入電壓時,其輸出電壓Vo=41mV,由此可知差動放大器的 CMRR 值為若干? (A)10
5
(B)10
4
(C)10
3
(D)10
2
。
86. 如下圖電路所示之 Vo 為何? (A)[1+2R
1
/R
2
](V
1
-V
2
) (B)[1+2R
2
/R
1
](V
2
-V
1
)(C)R
1
(V
1
-V
2
)/R
2
(D)R
2
(V
2
-V
1
)/R
1
。
87. 如下圖電路所示,C
2
之作用為何?
(A)濾除雜訊 (B)交連信號到輸入端做負回授 (C)使交流信號不致於產生負回授 (D)交連電容 。
88. 如下圖電路所示,忽略 V
BE (sat)
及 V
CE(sat)
、和 I
CBO
的影響,其電路飽和的條件為何?
(A)
(B)
(C)
(D)
。
89. 如下圖所示電路,不可能為下列何種電路?
(A)積分電路 (B)微分電路 (C)高通電路 (D)交連電路 。
90. 積分電路與低通電路主要的差別在於下列何者? (A)電路結構不同 (B)電路的 RC 時間常數與信號之週期的關係不同 (C)前者 RC 時間常數較長 (D)後者 RC 時間常數較長 。
91. 如下圖電路所示,若 V
o
與 V
i
的相位差為 0°,則此時之 V
o
/V
i
=?
(A)3/2(B)2/3 (C)1/3 (D)3 。
92. 如下圖所示電路之電源電壓為±V
CC
,則上、下臨限電壓為下列何者?
(A)±V
CC
R
2
/R
1
(B)±V
CC
R
1
/R
2
(C)±V
CC
R
2
/(R
1
+R
2
) (D)±V
CC
R
1
/(R
1
+R
2
) 。
93. 如下圖電路所示,其共模增益 Ac 為何?
(A)-R
C
/(2R
E
) (B)-R
E
/(2R
C
) (C)-R
C
/R
E
(D)-R
E
/R
C
。
94. 如下圖電路所示,若 V
i
與 V
o
之相位差為 180°時,則 V
i
之頻率為下列何者?
(A)
(B)
(C)
(D)
。
95. 下列何種振盪器是將電抗元件置於負回授迴路上,而正回授迴路中則全為電阻元件無電抗元件? (A)RC 相移振盪器 (B)韋恩電橋振盪器 (C)T 電橋振盪器 (D)LC 振盪器 。
96. 以下端點何者不可視為交流接地點? (A)
(B)
(C)
(D)
。
97. 如下圖電路所示,輸入一方波電壓 V
i
,則其輸出電壓 V
o
波形的上升時間 t
r
(rise time)為何?
(A)0.318RC (B)0.693RC (C)1.1RC (D)2.2RC 。
98. 如下圖電路所示,若已知 V
i
與 V
O
相位相同,則下列敘述何者有誤?
(A)V
O
/V
i
=R
2
/(R
2
+R
1
) (B)V
i
頻率若改變,則 V
i
與 V
O
之相位將不同 (C)常用於示波器之輸入端,以避免輸入波形失真 (D)R
1
C
1
=R
2
C
2
。
99. 下列敘述,何者並非影響放大器低頻響應的原因? (A)輸入的交連電容器(B)退交連電容器 (C)射極旁路電容器 (D)輸出端的交連電容器 。
100. 若 V
1
、V
2
分別為運算放大器之非反相及反相端的輸入電壓,而 V
c
與 V
d
則分別代表共模信號電壓及差動信號電壓,則其彼此間關係之敘述,下列何者錯誤? (A)V
c
=(V
1
+V
2
)/2 (B)V
1
=V
c
+V
d
/2 (C)V
d
=(V
1
-V
2
)/2 (D)V
d
=V
1
-V
2
。
申論題 (0)
相關試卷
114年 - 11500 儀表電子 乙級 工作項目 10:裝配與測試知識 1-35(2025/11/04 更新)#133310
114年 · #133310
114年 - 11500 儀表電子 乙級 工作項目 09:儀表電學 101-147(2025/11/04 更新)#133309
114年 · #133309
114年 - 11500 儀表電子 乙級 工作項目 09:儀表電學 51-100(2025/11/04 更新)#133308
114年 · #133308
114年 - 11500 儀表電子 乙級 工作項目 09:儀表電學 1-50(2025/11/04 更新)#133307
114年 · #133307
114年 - 11500 儀表電子 乙級 工作項目 08:微電腦概論與應用 51-74(2025/11/04 更新)#133306
114年 · #133306
114年 - 11500 儀表電子 乙級 工作項目 08:微電腦概論與應用 1-50(2025/11/04 更新)#133305
114年 · #133305
114年 - 11500 儀表電子 乙級 工作項目 07:數位系統 101-150(2025/11/04 更新)#133304
114年 · #133304
114年 - 11500 儀表電子 乙級 工作項目 07:數位系統 51-100(2025/11/04 更新)#133303
114年 · #133303
114年 - 11500 儀表電子 乙級 工作項目 07:數位系統 1-50(2025/11/04 更新)#133302
114年 · #133302
114年 - 11500 儀表電子 乙級 工作項目 06:電子學 151-181(2025/11/04 更新)#133301
114年 · #133301