阿摩線上測驗
登入
首頁
>
技檢◆機械停車設備裝修-乙級
> 114年 - 12700 機械停車設備裝修 乙級 工作項目 05:電機部分 151-194(2025/12/17 更新)#135158
114年 - 12700 機械停車設備裝修 乙級 工作項目 05:電機部分 151-194(2025/12/17 更新)#135158
科目:
技檢◆機械停車設備裝修-乙級 |
年份:
114年 |
選擇題數:
44 |
申論題數:
0
試卷資訊
所屬科目:
技檢◆機械停車設備裝修-乙級
選擇題 (44)
複選題
151. 理想的電容器經充電其儲存能量,下列哪些正確? (A)
(B)
(C)
(D)
。
複選題
152. 下列敘述哪些正確? (A)電阻的大小與導線截面積成反比 (B)兩電容器並聯後,總電容量增加 (C)電場強度與電荷間距離成反比 (D)兩磁極間之距離愈短,其間作用力愈大 。
複選題
153. 有關磁力線,下列敘述哪些正確? (A)磁鐵內部磁力線係由 N 極至 S 極(B)磁力線為封閉曲線 (C)磁力線恆不相交 (D)磁力線本身具有伸縮的特性 。
複選題
154. 當線圈在磁場中運動時,線圈會感應電壓,感應電壓的大小與下列哪些有關? (A)線圈匝數 (B)線圈切割磁通的速率 (C)線圈運動的方向 (D)線圈線徑大小 。
複選題
155. 有關電感器的特性,下列敘述哪些正確? (A)電感的端電壓與其電流大小成正比 (B)電感的儲能大小為
LI
2
(C)電感的電流不會瞬間變化 (D)直流電壓、電阻、電感串聯電路中,若離開關切換時間已超過 5 個時間常數,則電感相當於短路 。
複選題
156. 有關電場與磁場,下列敘述哪些正確? (A)電場與磁場同屬於超距力 (B)單位磁極所受之作用力稱為磁場強度 (C)電力線由正電荷出發,進入負電荷,再由負電荷回到正電荷,形成一閉合環路 (D)磁力線愈密,則磁場強度愈強 。
複選題
157. 將一導線置於均勻磁場中運動,下列哪些物理量會影響感應電動勢的大小? (A)導線長度 (B)導線速度 (C)導線電阻 (D)磁場強度 。
複選題
158. 匝數各為 N
1
及 N
2
之兩線圈各通以 I
1
及 I
2
之電流時,N
1
產生的磁通ψ
1
,其中有ψ
1
與 N
2
交鏈,而 N
2
產生磁通ψ
2
,其中有ψ
21
與 N
1
交鏈,則此時 N
1
線圈中之自感和互感分別為 (A)
(B)
(C)
(D)
。
複選題
159. 如下圖所示,電流源和電壓源分別提供多少功率?
(A)30W (B)60W (C)75W (D)-10W 。
複選題
160. 如下圖所示,I
1
和 I
2
分別=?
(A)4A (B)3A (C)2A (D)1A 。
複選題
161. 如下圖所示,V
1
和 V
2
分別為
(A)5V (B)10V (C)15V (D)20V 。
複選題
162. RC 串聯電路,其時間常數為下列哪些錯誤? (A)
(B)RC (C)R2C (D)RC2 。
複選題
163. 如圖惠斯登電橋,若電橋平衡時,關於檢流計
之敘述,下列敘述哪些錯誤?
(A)電流為 0 (B)電流最大 (C)電流為負值 (D)內阻很大的電流表 。
複選題
164. 絞線接於開關時,在線頭加焊錫或使用壓接端子可以 (A)減少接觸電阻(B)減少溫升 (C)降低電壓降 (D)降低成本 。
複選題
165. 在做導線連接,下列哪些接頭需要用壓接鉗壓接 (A)螺式接頭 (B)閉端端子 (C)銅壓接套管 (D)壓接端子 。
複選題
166. 下列哪些導線連接法不適合使用錫壺加焊? (A)單心線直路單捲法 (B)單心線分路單捲法 (C)單心線直路終端法 (D)絞線直路單捲法 。
複選題
167. 下列哪些是減少電樞反應的方法? (A)裝設補償繞組 (B)裝設換向磁極 (C)增加電樞磁路電阻 (D)調整磁場變阻器 。
複選題
168. 下列何者非直流自激式發電機建立電壓條件之一? (A)轉速低於臨界轉速(B)剩磁不夠 (C)場電阻小於臨界電阻 (D)場繞組接線方向錯誤 。
複選題
169. 直流發電機在無載時,可建立電壓者為 (A)分激式 (B)串激式 (C)積複激式(D)差複激式 。
複選題
170. 下列哪些不是直流分激發電機並聯運轉的必要條件? (A)電壓大小需相等(B)電壓極性需相同 (C)發電機應具有相同垂下的外部特性 (D)需加均壓線 。
複選題
171. 下列哪些直流電動機與負載間之連結,可用皮帶轉動? (A)分激式 (B)串激式 (C)積複激式 (D)差複激式 。
複選題
172. 下列有關直流電動機的磁場控制法(場磁通控制法)之敘述何者正確? (A)速率調整率佳 (B)簡單有效 (C)費用低 (D)轉速 n 與場磁通ψ
f
成正比 。
複選題
173. 下列哪些方式不可改變直流分激電動機轉子之旋轉方向? (A)改變電源電壓極性 (B)將電樞繞組短路 (C)同時改變場繞組和電樞繞組的電流方向 (D)僅改變電樞繞組之電流方向 。
複選題
174. 有關變壓器絕緣油應該具備的條件,下列哪些正確? (A)凝固點高 (B)粘度低 (C)引火點高 (D)絕緣耐力強 。
複選題
175. 有關理想變壓器之特點,下列哪些正確? (A)無波形畸變,無飽和 (B)導磁係數極小 (C)無漏磁 (D)各線圈之電阻為零 。
複選題
176. 有關自耦變壓器,下列敘述哪些正確? (A)漏磁電抗較小 (B)高低壓繞組都不用作絕緣 (C)效率高 (D)可節省繞組材料之使用量 。
複選題
177. 有關自耦變壓器,下列敘述哪些正確? (A)一次與二次迴路共用部分繞組(B)與同輸出容量的變壓器比較時,通常漏磁電抗較小 (C)二次側電壓一定比一次側電壓低 (D)高低壓繞組均需作高度絕緣處理 。
複選題
178. 有關自耦變壓器,下列敘述哪些錯誤? (A)體積小、成本高,但效率較普通變壓器低 (B)體積小、成本低,但效率較普通變壓器高 (C)體積大、成本高,但效率較普通變壓器高 (D)激磁電流比普通變壓器高 。
複選題
179. 有關比壓器(PT)及比流器(CT),下列敘述哪些正確? (A)PT 二次側額定電壓為 110V (B)CT 二次側額定電流為 5 安培 (C)PT 二次側並聯於電路,CT 一次側串聯於電路 (D)PT 二次側不可短路,CT 二次側必須開路 。
複選題
180. 有關比壓器及比流器,下列敘述哪些錯誤? (A)比流器二次側不得開路(B)系統中更換電表時,比壓器應先短路 (C)比流器二次側配線應使用2.0mm
2
之黑色導線 (D)比壓器二次側配線應使用 2.0mm
2
之紅色導線 。
複選題
181. 有關雙鼠籠式感應電動機之特色,下列敘述哪些錯誤? (A)高啟動電流,高啟動轉矩 (B)低啟動電流,高啟動轉矩 (C)價格便宜,體積小 (D)交直流兩用 。
複選題
182. 於三相繞線轉子型感應電動機起動時,下列哪些無法獲得高的起動轉矩與低的起動電流? (A)定子電路串接適當的電阻 (B)定子電路串接適當的電抗 (C)轉子電路串接適當的電阻 (D)轉子電路串接適當的電抗 。
複選題
183. 下列哪些非三相感應電動機 Y-△切換裝置之目的? (A)降低起動電流 (B)△接起動後再切換為 Y 接運轉,可使起動較快 (C)改變轉向 (D)降低運轉電流 。
複選題
184. 正確的感應電動機之速率控制方式為 (A)插入轉子電阻 (B)插入轉子電壓(C)控制轉差率 (D)一次側串聯電阻 。
複選題
185. 有關感應電動機之速率控制,下列敘述哪些正確? (A)變頻器控速,調速範圍極廣,屬於定轉矩控速,而為工業界應用之主流 (B)變極控速僅適用於鼠籠式轉子 (C)採兩機串級控速,必須至少有一部電機為繞線式 (D)改變極數,是屬於改變轉矩轉差率曲線的控速方法 。
複選題
186. 分相起動式之單相感應電動機,其起動繞組常使用細銅線且匝數較少,下列哪些非其目的? (A)增加電感,減少電阻,使其電流較主繞組電流為進相 (B)減少電感,增加電阻,使其電流較主繞組電流為遲相 (C)減少電感和電阻,使其電流較主繞組電流為增加電感和電阻,使其電流較主繞組電流為遲相 (D)減少電感增加電阻,使其電流較主繞組電流為進相 。
複選題
187. 當電容起動式單相電動機的故障為「無法起動」,但用手轉動轉軸便可使其運轉,試問下列哪些為可能故障之原因? (A)起動繞組斷線 (B)行駛繞組斷線 (C)電容器損壞 (D)離心力開關之接線脫落 。
複選題
188. 有關電容式電動機之起動電容器及運轉電容器,下列敘述哪些正確? (A)起動電容器容量較大 (B)起動電容器耐壓較高 (C)運轉電容器容量較小 (D)運轉電容器耐壓較高 。
複選題
189. 下列哪些是三相感應電動機無載下不能起動的原因? (A)負載過重 (B)軸承過緊或磨損 (C)內部繞組部份接地 (D)內部繞組斷路 。
複選題
190. 有關光電晶體,下列敘述哪些錯誤? (A)反向電流與光強度成正比 (B)反向電流與光強度成反比 (C)順向電流與光強度成正比 (D)順向電流與光強度成反比 。
複選題
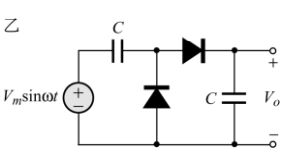
191. 如下圖所示之甲、乙、丙、丁四種電路,圖中 C 代表電容器,並假設理想二極體,下列何者不可能得到正值 2V
m
之電壓輸出? (A)
(B)
(C)
(D)
。
複選題
192. 使用三用電表歐姆檔測量二極體後,將探棒極性互換再測一次,下列哪些情況表示二極體為不良狀態? (A)兩次都出現高電阻狀態 (B)兩次都出現低電阻狀態 (C)一次出現高電阻狀態,另一次出現低電阻狀態 (D)三用電表無法對二極體做基本的判斷 。
複選題
193. 下列哪些非射極隨耦器的特性? (A)輸入阻抗非常低 (B)輸出阻抗非常高(C)電壓增益約為 1 (D)電流增益約 1 。
複選題
194. 關於電晶體放大電路的三種基本組態(CE、CB、CC),下列描述何者正確? (A)共基極(CB)電路具有最低的輸入阻抗及最高的輸出阻抗 (B)共集極(CC)電路的電壓增益小於並趨近於一 (C)共射極(CE)電路具有最高的輸入阻抗及最低的輸出阻抗 (D)共基極(CB)電路的電流增益小於並趨近於一 。
申論題 (0)
相關試卷
114年 - 12700 機械停車設備裝修 乙級 工作項目 07:有關法規 151-171(2025/12/17 更新)#135163
114年 · #135163
114年 - 12700 機械停車設備裝修 乙級 工作項目 07:有關法規 101-150(2025/12/17 更新)#135162
114年 · #135162
114年 - 12700 機械停車設備裝修 乙級 工作項目 07:有關法規 51-100(2025/12/17 更新)#135161
114年 · #135161
114年 - 12700 機械停車設備裝修 乙級 工作項目 07:有關法規 1-50(2025/12/17 更新)#135160
114年 · #135160
114年 - 12700 機械停車設備裝修 乙級 工作項目 06:試車 1-62(2025/12/17 更新)#135159
114年 · #135159
114年 - 12700 機械停車設備裝修 乙級 工作項目 05:電機部分 101-150(2025/12/17 更新)#135157
114年 · #135157
114年 - 12700 機械停車設備裝修 乙級 工作項目 05:電機部分 51-100(2025/12/17 更新)#135156
114年 · #135156
114年 - 12700 機械停車設備裝修 乙級 工作項目 05:電機部分 1-50(2025/12/17 更新)#135155
114年 · #135155
114年 - 12700 機械停車設備裝修 乙級 工作項目 04:機械停車設備機械部分 151-176(2025/12/17 更新)#135154
114年 · #135154
114年 - 12700 機械停車設備裝修 乙級 工作項目 04:機械停車設備機械部分 101-150(2025/12/17 更新)#135153
114年 · #135153