所屬科目:研究所、轉學考(插大)-微積分
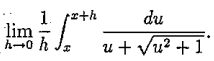
II.Find the limit
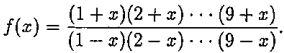
III. Let the function
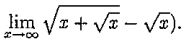
IV. Find the limit
V. Find indefinite integral
VI. Determine whether the following singular definite integral is convergent or not,